Última actualización :
27/04/2026
Antibiótico   Netilmicin sulfate   
Aerosol
Inyectables
La estabilidad de las preparaciones farmacéuticas Estabilidad en mezcla Factores que influyen sobre la estabilidad Compatibilidades Bibliografía pdf
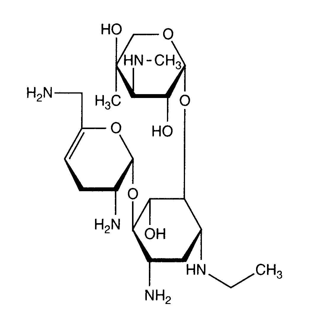
   Estructura química  

Aerosol

Factores que influyen sobre la estabilidad   Aerosol   Factores que influyen sobre la estabilidad : Netilmicin sulfate         
Ausencia de datos

  Mentions Légales