Posledná aktualizácia :
27/04/2026
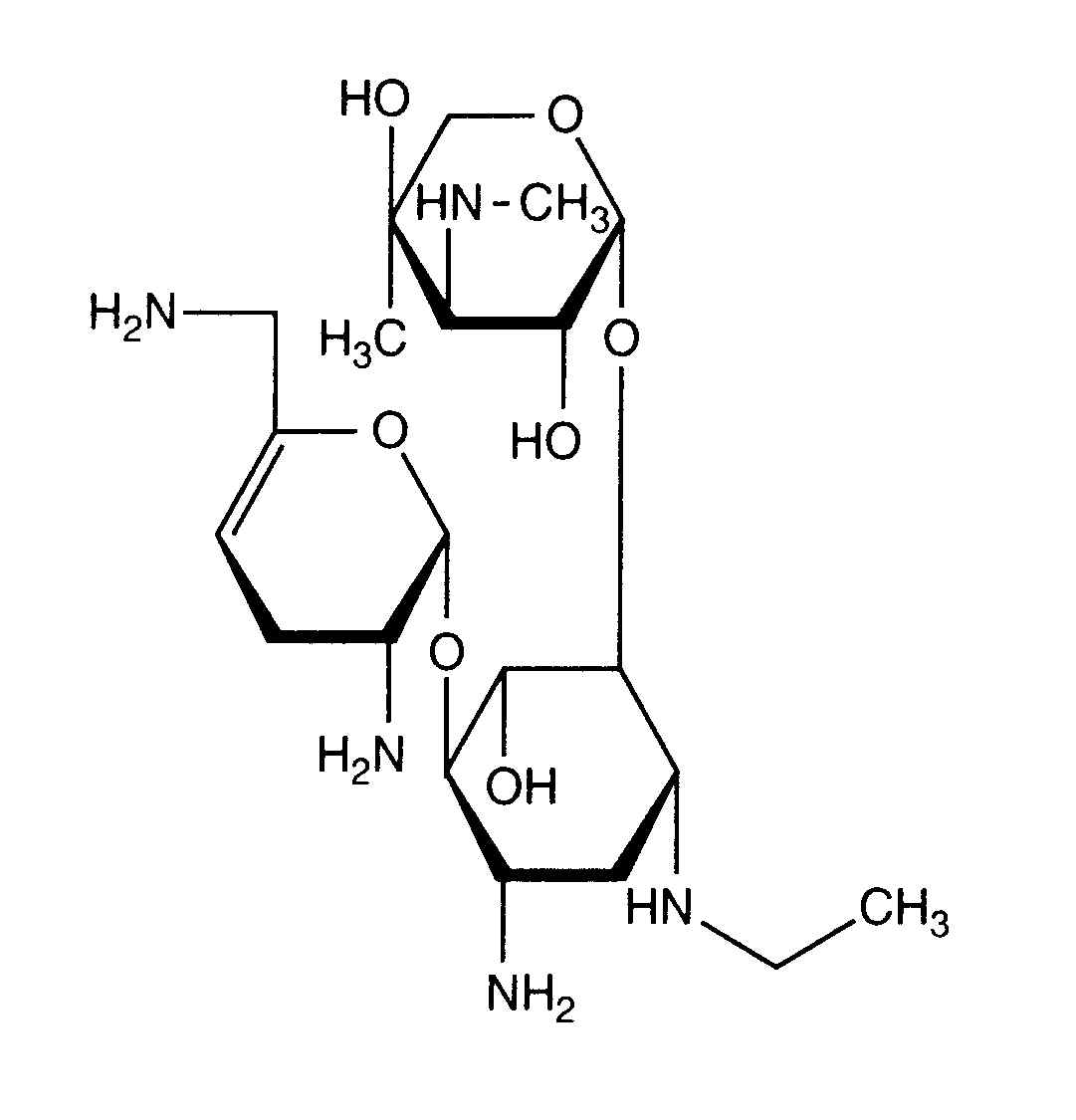
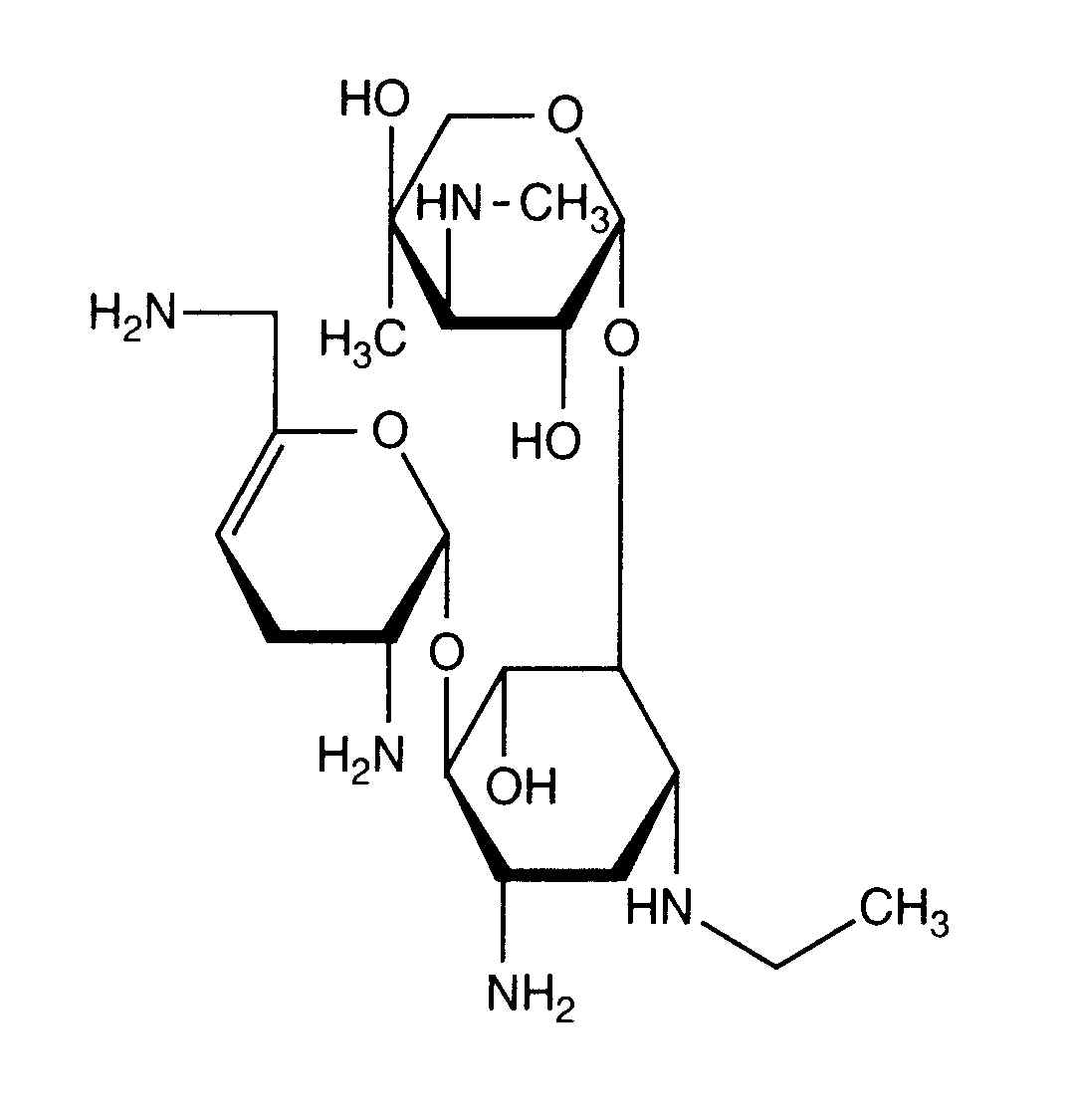
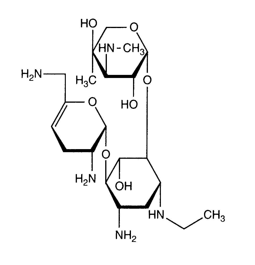
antibiotikum   Netilmicin sulfate   
Aerosól
Injekcia
Stabilita farmaceutických prípravkov Stabilita v zmesiach Faktory ovplyvňujúce stabilitu Kompatibility Odkazy na literatúru PDF
   Chemický vzorec  

Aerosól

Faktory ovplyvňujúce stabilitu   Aerosól   Faktory ovplyvňujúce stabilitu : Netilmicin sulfate         
žiadne údaje

  Mentions Légales