Letztes “update” :
27/04/2026
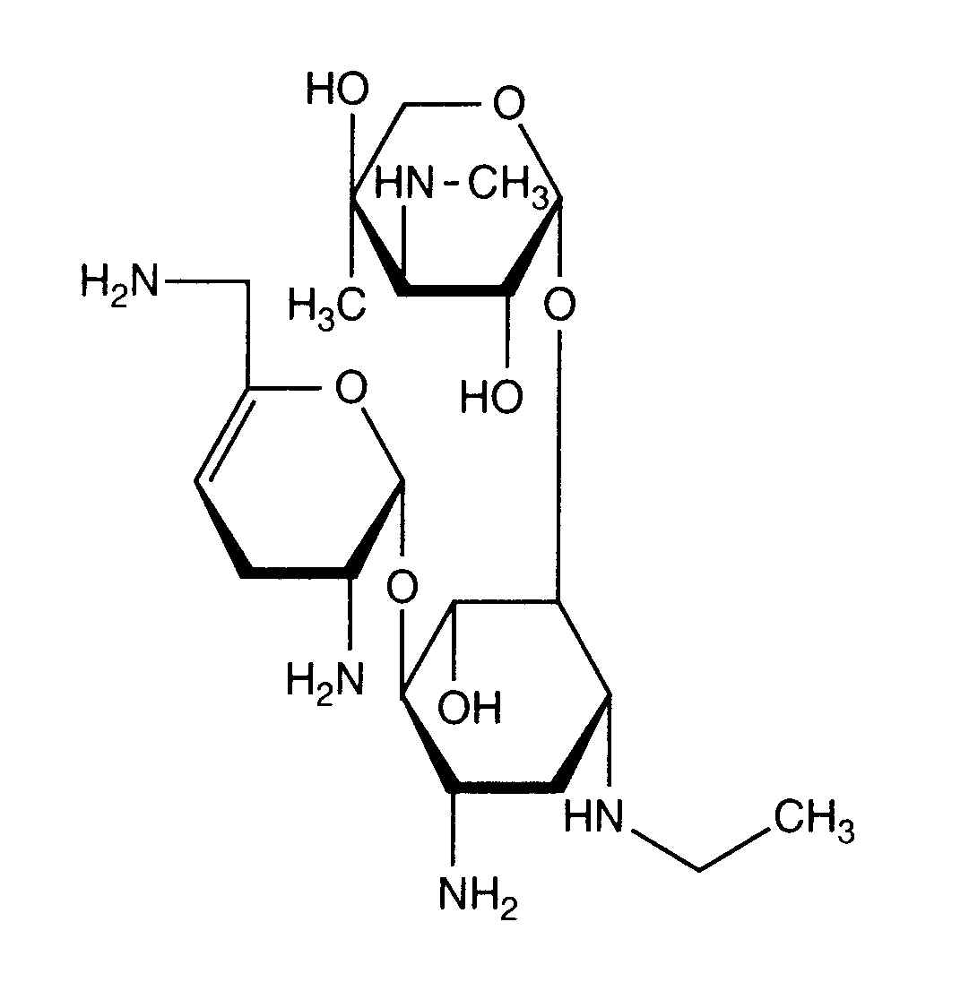
Antibiotikum   Netilmicin sulfate   
Aerosol
Injektion
Stabilität von pharmazeutischen Präparaten Gemengestabilität Stabilitätbeeinflussende Faktoren Kompatibilitäten Literaturverzeichnis pdf
   Chemische Struktur  

Aerosol

Stabilitätbeeinflussende Faktoren   Aerosol   Stabilitätbeeinflussende Faktoren : Netilmicin sulfate         
Keine Daten

  Mentions Légales