Last update :
27/04/2026
Antibiotic   Netilmicin sulfate   
aerosol
injection
Stability of pharmaceutical preparations Stability of mixtures Factors which affect stability Compatibility References pdf
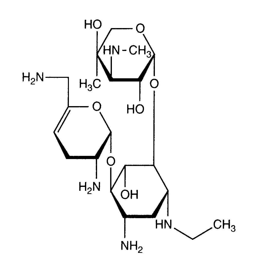
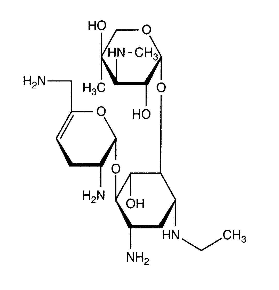
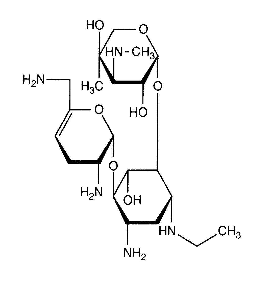
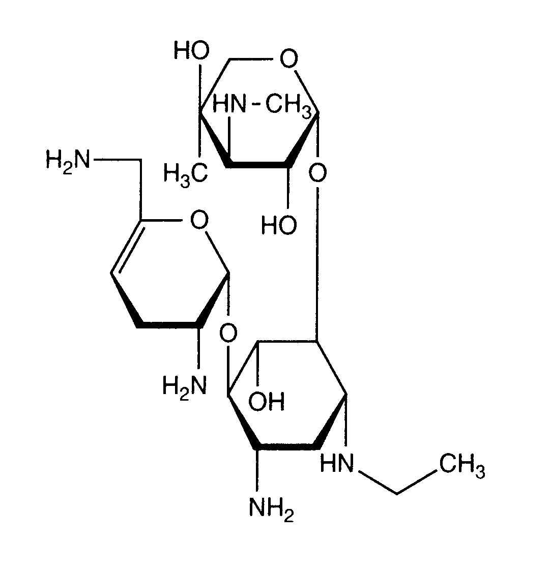
   Chemical structure  

aerosol

Factors which affect stability   aerosol   Factors which affect stability : Netilmicin sulfate         
No data

  Mentions Légales