Laatste update :
27/04/2026
Antibioticum   Netilmicin sulfate   
Aerosol
injecteerbaar geneesmiddel
Stabiliteit van farmaceutische preparaten Stabiliteit in mengsels Factoren die de stabiliteit beïnvloeden Verenigbaarheden Literatuur pdf
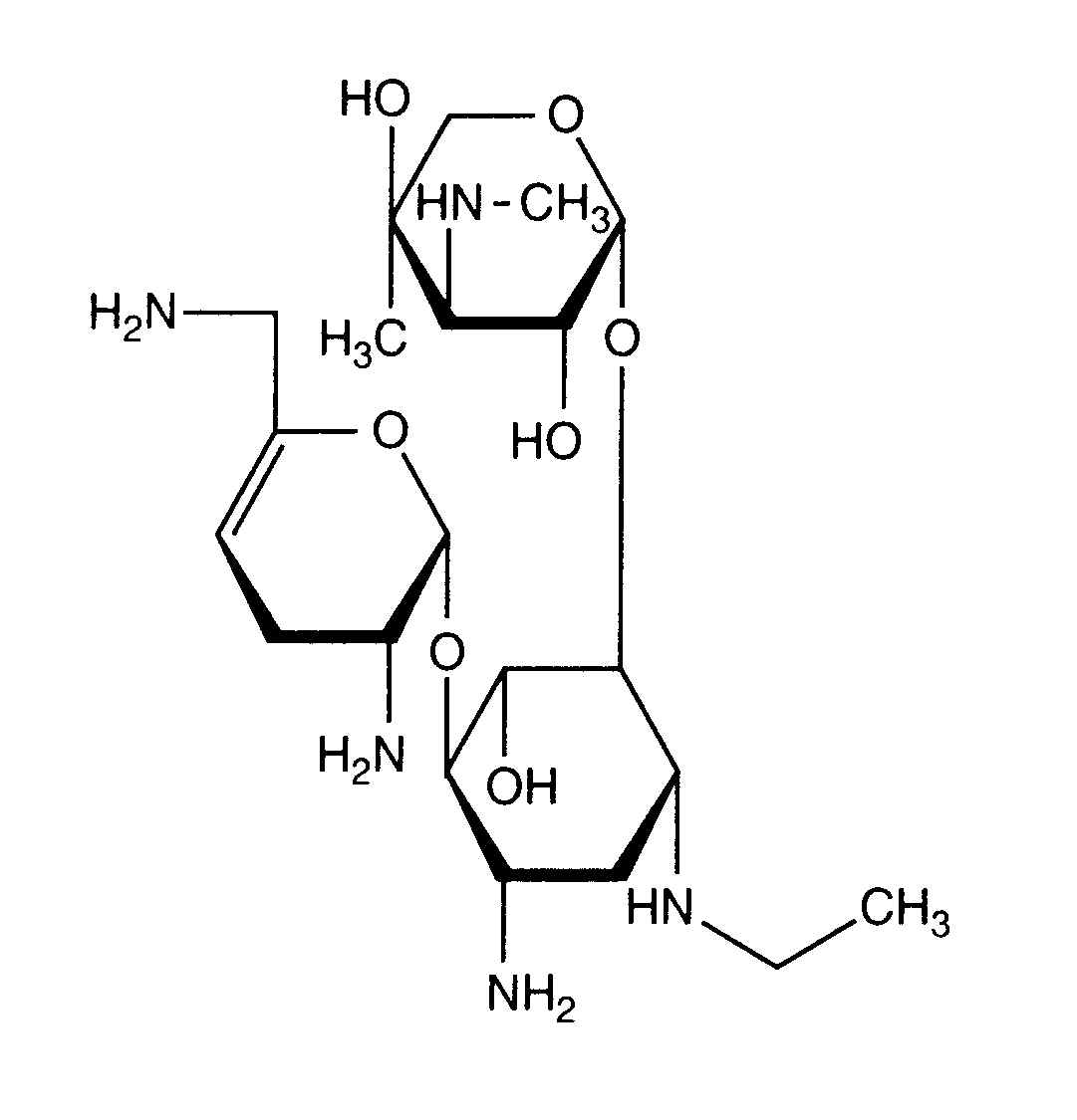
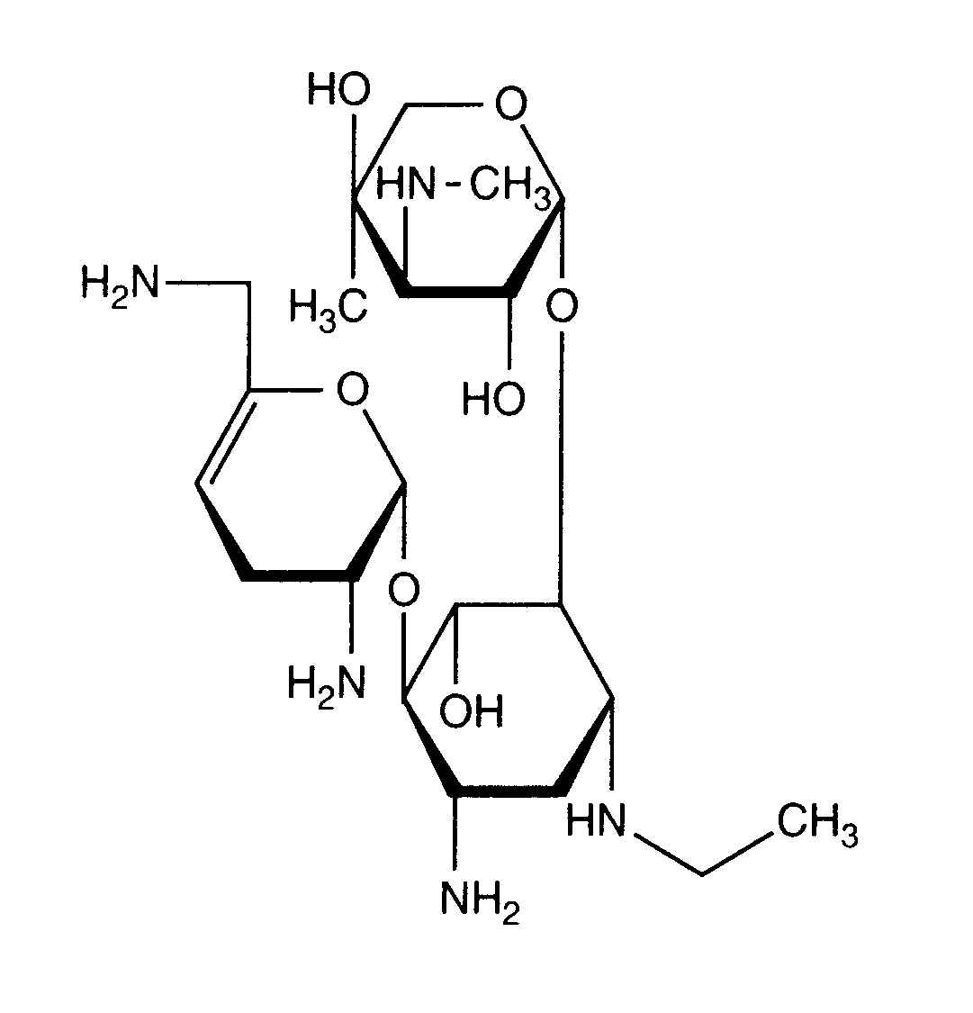
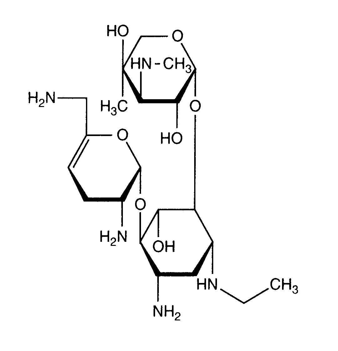
   Molecuulstructuur  

Aerosol

Factoren die de stabiliteit beïnvloeden   Aerosol   Factoren die de stabiliteit beïnvloeden : Netilmicin sulfate         
geen gegevens

  Mentions Légales