zadnja posodobitev :
27/04/2026
Antibiotik   Netilmicin sulfate   
Aerosol
Brizgalka
Stabilnost farmacevtskih preparatov Stabilnost mešanice Faktorji, ki vplivajo na stabilnost Kompatibilnost Viri pdf
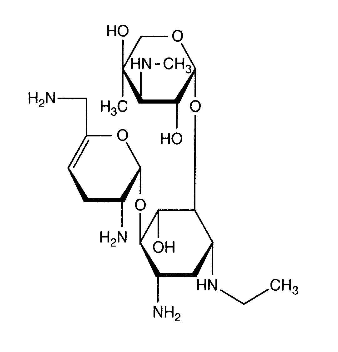
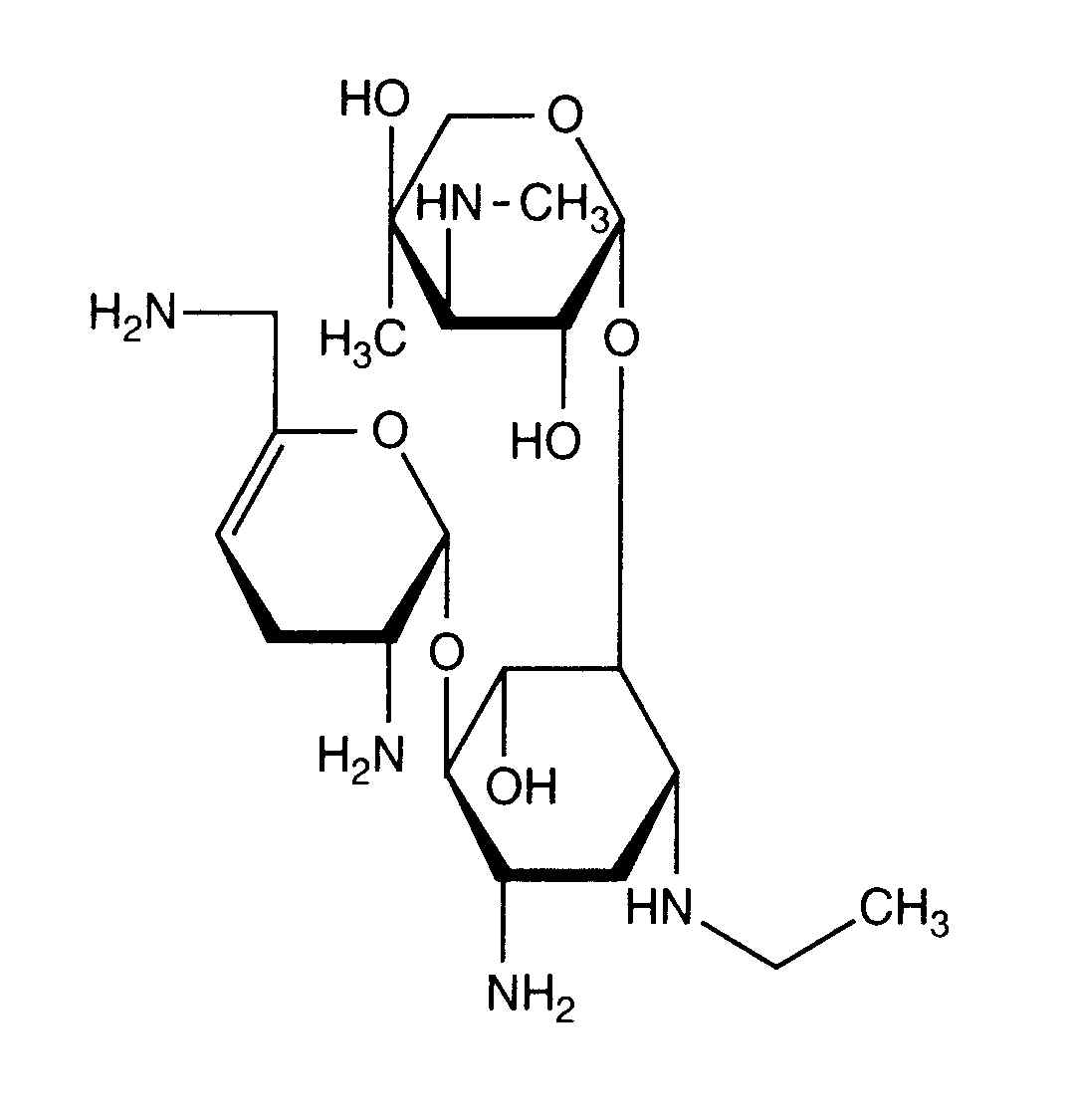
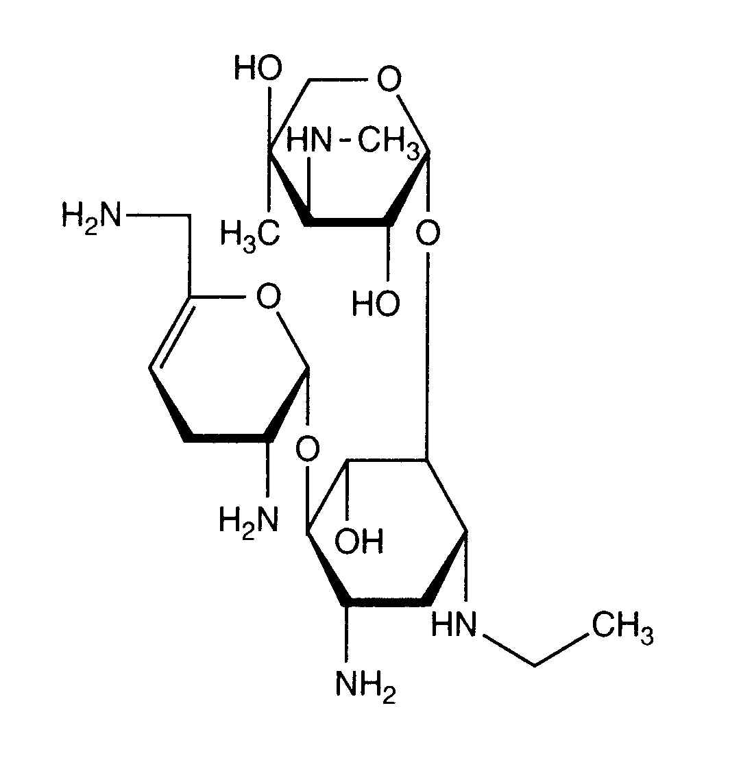
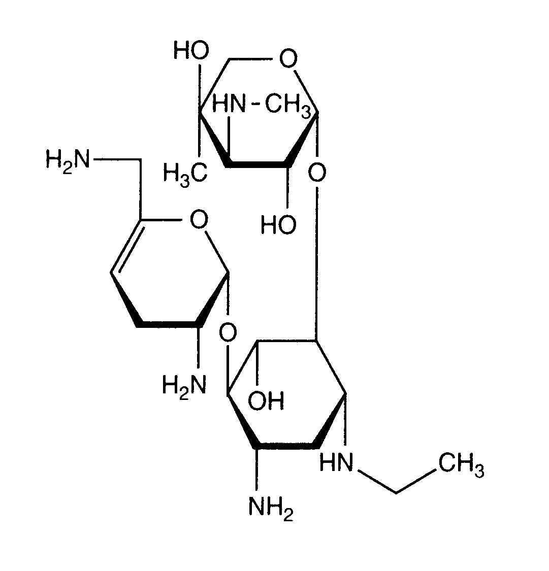
   Kemična formula  

Aerosol

Faktorji, ki vplivajo na stabilnost   Aerosol   Faktorji, ki vplivajo na stabilnost : Netilmicin sulfate         
ni podatka

  Mentions Légales