Son güncelleme :
27/01/2026
Antibiyotik   Tobramycin sulfate   
Göz damlası
Aerosol Enjeksiyon Oral solüsyon / oral çözelti
Farmasötik preparatlar Kararlılığı Karışımlardaki stabilitesi Stabiliteyi etkileyen faktörler Uyumluluk Kaynaklar pdf
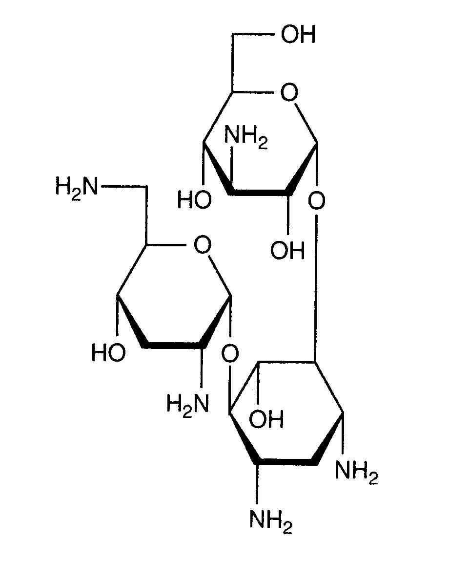
   Kimyasal yapı   

Göz damlası
Farmasötik preparatlar Kararlılığı   Göz damlası   Farmasötik preparatlar Kararlılığı : Tobramycin sulfate      
Saklama kabı Origine yardımcı madde Isı Saklama    Stabilite süresi Kaynaklar
Plastik şişe Enjeksiyon için ilaç şişesi 5 ml
Nebcin® 40 mg/ml
Tobrex® 3 mg/ml göz damlası 2 ml
4-8°C Işıktan koruyunuz
90 Gün
2487


  Mentions Légales