Ultimo aggiornamento :
27/01/2026
Antibiotico   Tobramycin sulfate   
Collirio
Aerosol Iniezione Soluzione orale
Stabilità dei preparati farmaceutici Stabilità in miscela Fattori che influenzano la stabilità Compatibilità Bibliografia pdf
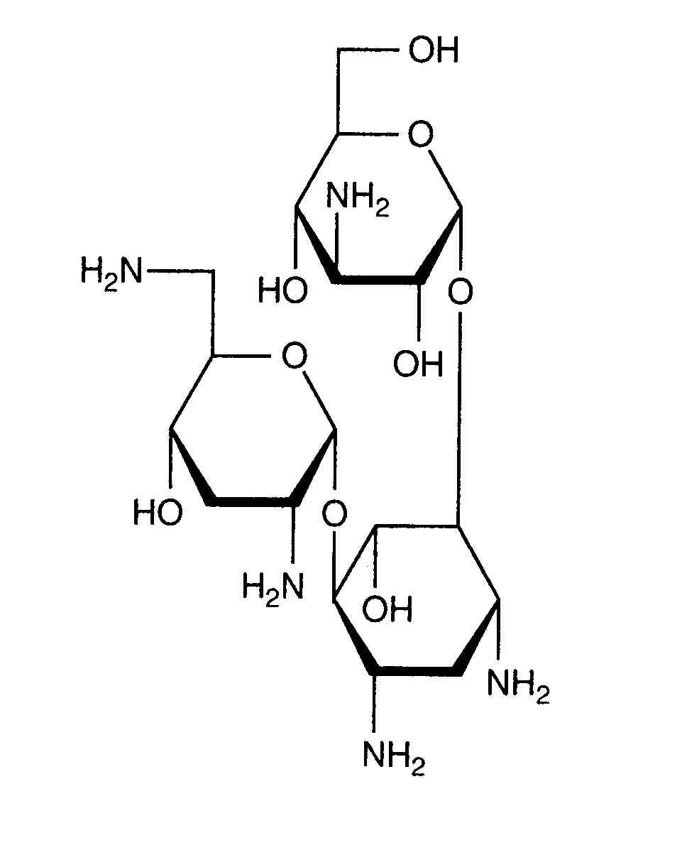
   Struttura chimica  

Collirio
Stabilità dei preparati farmaceutici   Collirio   Stabilità dei preparati farmaceutici : Tobramycin sulfate      
contenitore Origine eccipiente Temperatura Conservazione Durata della stabilità Bibliografia
bottiglia di plastica Bottiglia di medicina per l'iniezione 5 ml
Nebcin® 40 mg/ml
Tobrex® 3 mg/ml eye-drops 2 ml
4-8°C Al riparo dalla luce
90 Giorno
2487


  Mentions Légales