zadnja posodobitev :
05/12/2025
Infostab
Seznami
Seznami
Poiščite združljivosti
Tabela združljivosti Y-strani
Viri
raziskovalne skupine
valistab
poster
Povezave
sponzorji
Avtor
Navodilo za uporabo
Newsletter
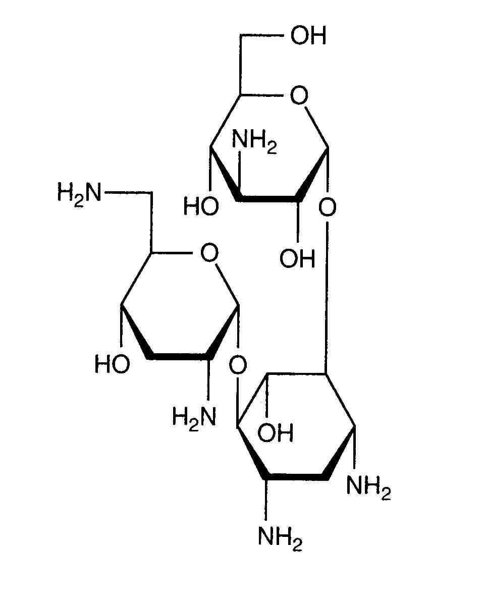
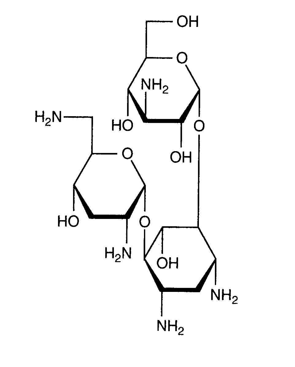
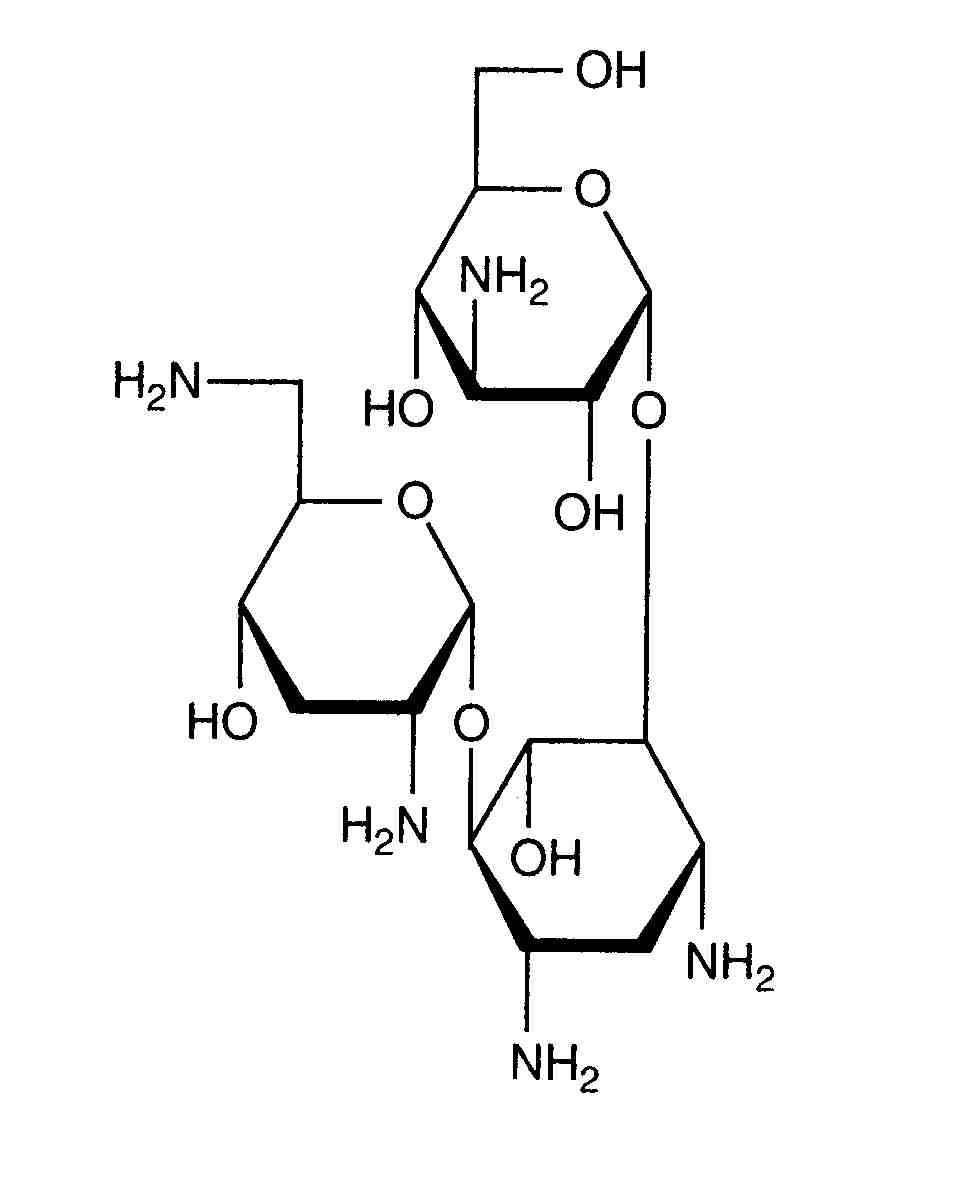
Tobramycin sulfate
Kemična formula
Stabilnost farmacevtskih preparatov : Tobramycin sulfate
5 ml
Nebcin® 40 mg/ml
Tobrex® 3 mg/ml kapljice za oči
2 ml
4-8°C
90
2487
Mentions Légales