Zadnji put ažurirano :
27/01/2026
antibiotik   Tobramycin sulfate   
kapi za oko
aerosol injekcija oralna otopina
Stabilnost farmaceutskih pripravaka Stabilnost mješavine Stabilizacijski faktor Kompatibilnosti Bibliografija pdf
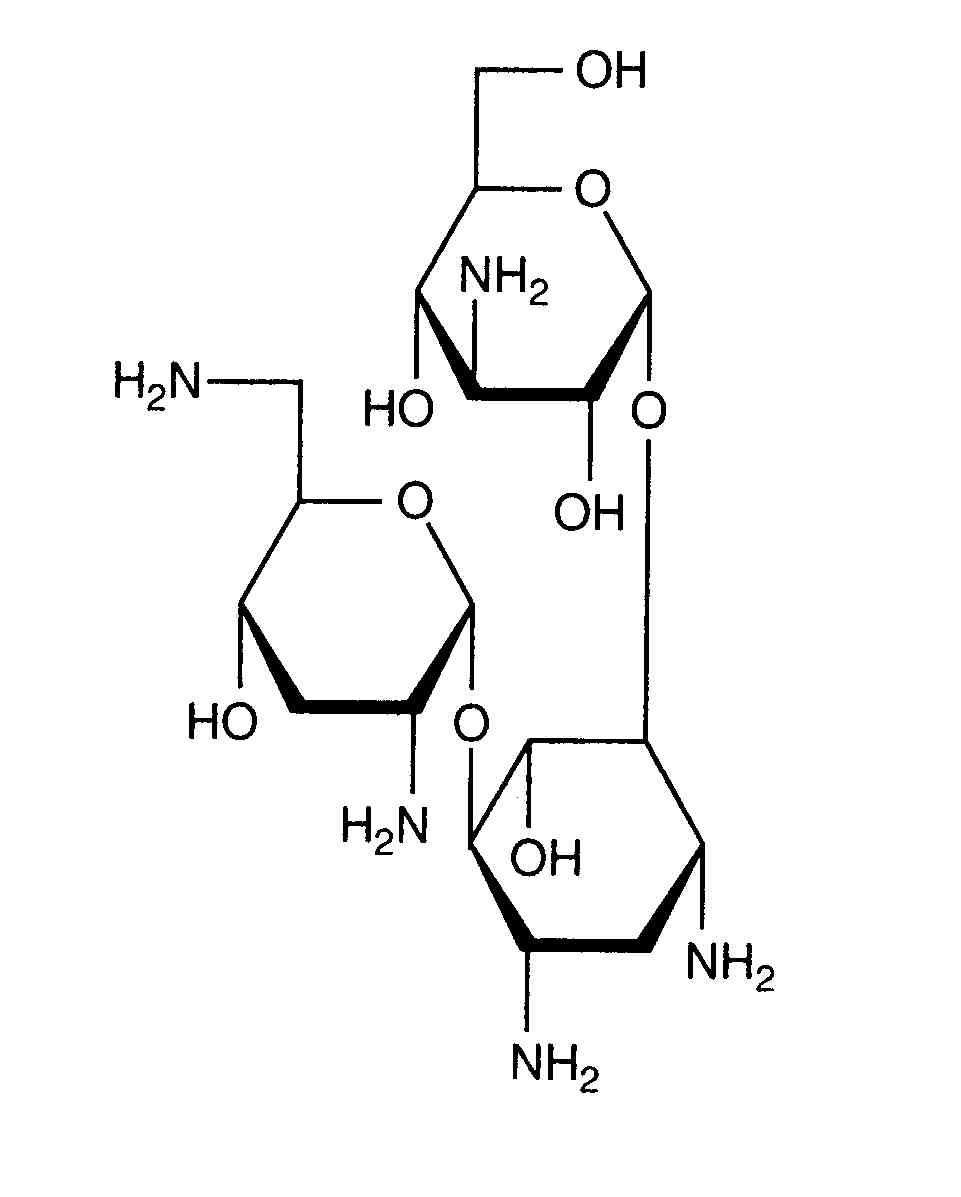
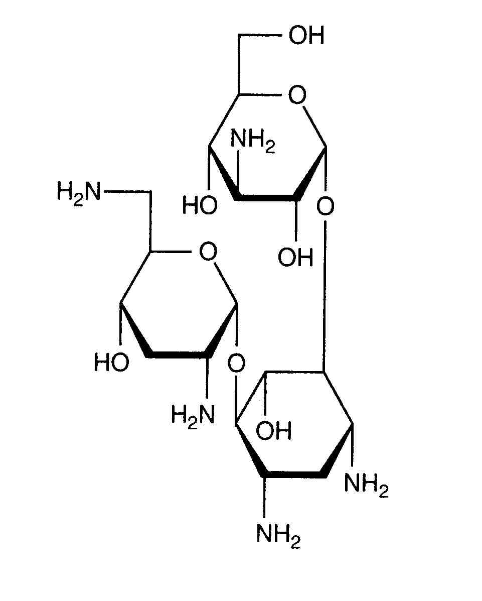
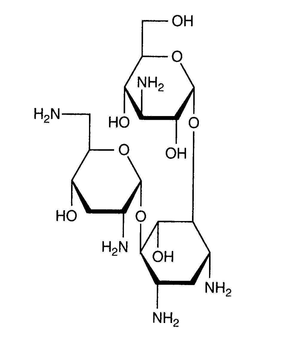
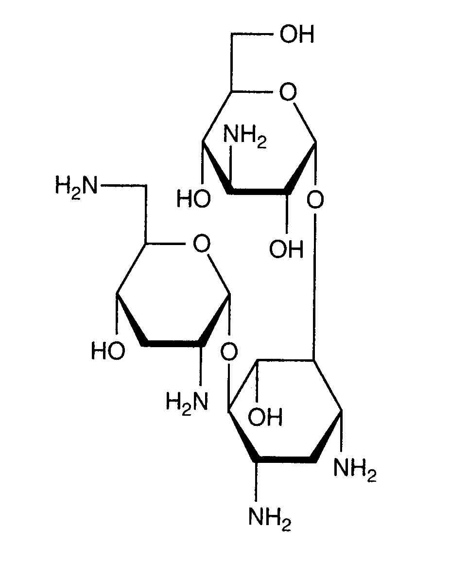
   Kemijska struktura  

kapi za oko
Stabilnost farmaceutskih pripravaka   kapi za oko   Stabilnost farmaceutskih pripravaka : Tobramycin sulfate      
Kontejner Origine pomoćna tvar temperatura Konzerviranje Trajanje stabilnosti Bibliografija
plastična boca bočica za injekcije 5 ml
Nebcin® 40 mg/ml
Tobrex® 3 mg/ml kapi za oko 2 ml
4-8°C Zaštićeno od svjetlosti
90 dan
2487


  Mentions Légales