最新更新 :
03/03/2026
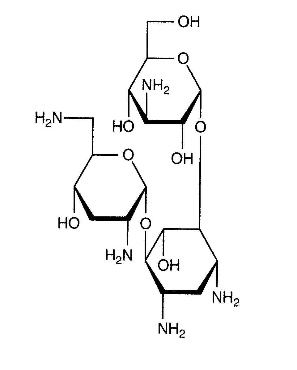
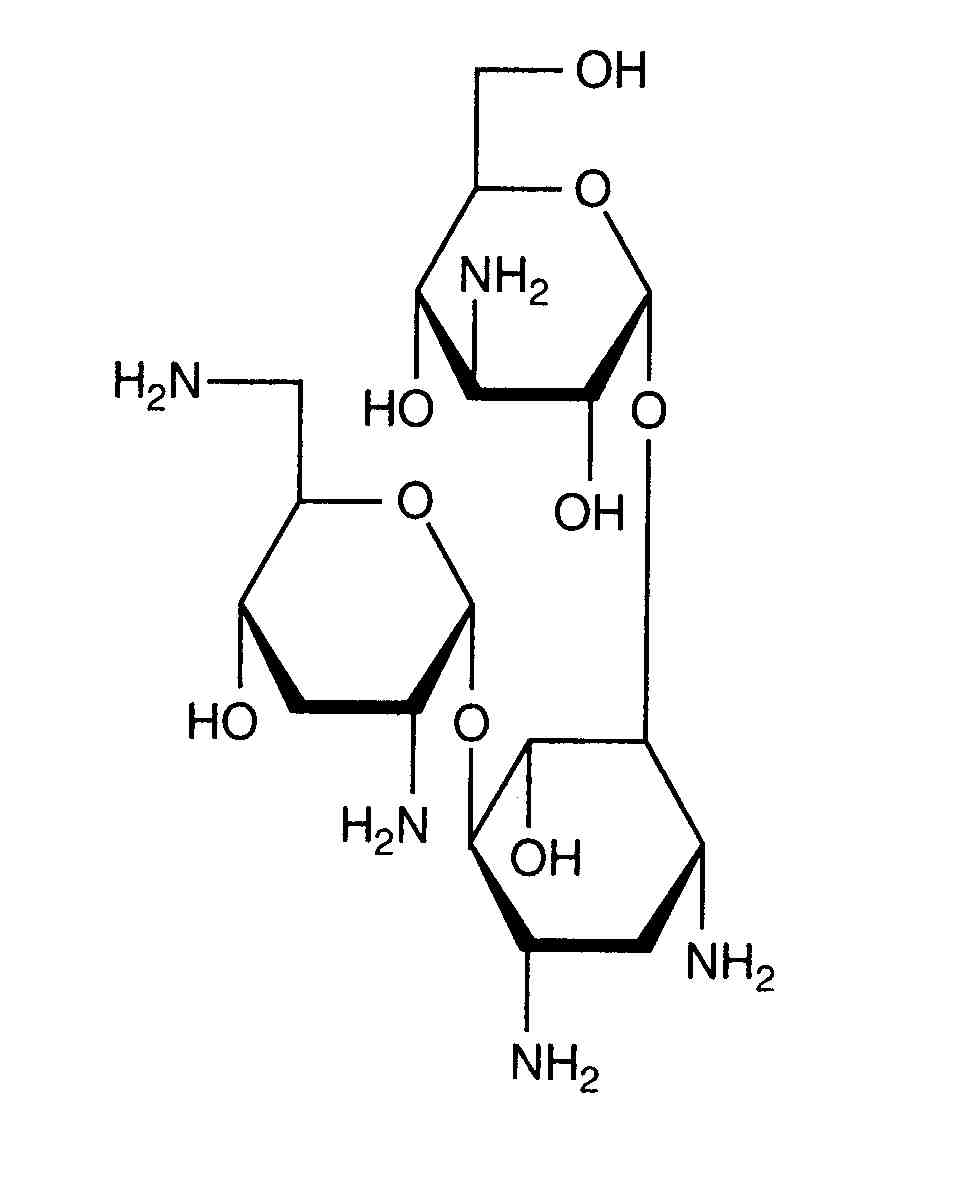
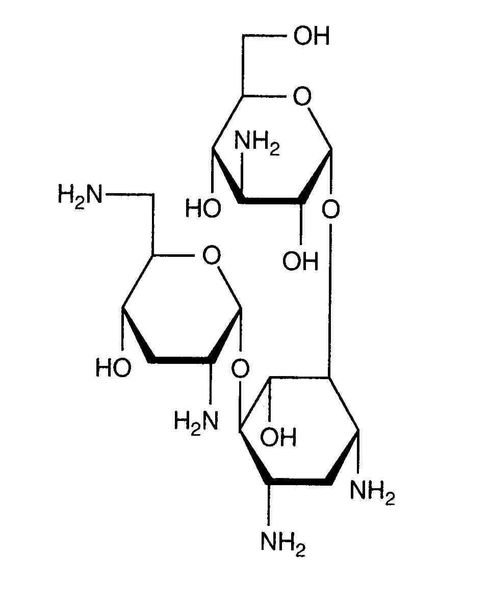
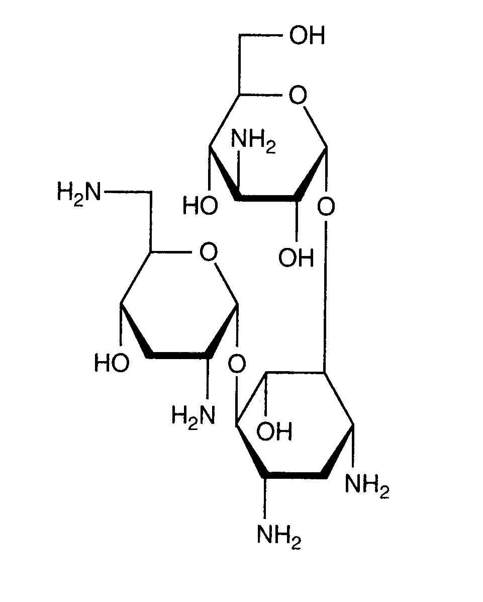
抗生素   Tobramycin sulfate   
眼药水
口服剂 气雾剂 注射液
制剂的稳定性 混合物稳定性 影响稳定性的因素 兼容性 引用文献 PDF
   化学式  

眼药水
制剂的稳定性   眼药水   制剂的稳定性 : Tobramycin sulfate      
容器 Origine 添加剂 温度 保存 穩定持續時間 引用文献
塑料瓶 注射用瓶 5 ml
Nebcin® 40 mg/ml
Tobrex® 3 mg/ml眼药 2 ml
4-8°C 避光
90 白天
2487


  Mentions Légales