最新更新 :
27/01/2026
抗菌薬   Tobramycin sulfate   
点眼薬
エアロゾル 注射薬 経口液
調剤時の安定性 混合時の安定性 安定性に影響する因子 互換性 引用文献 PDF
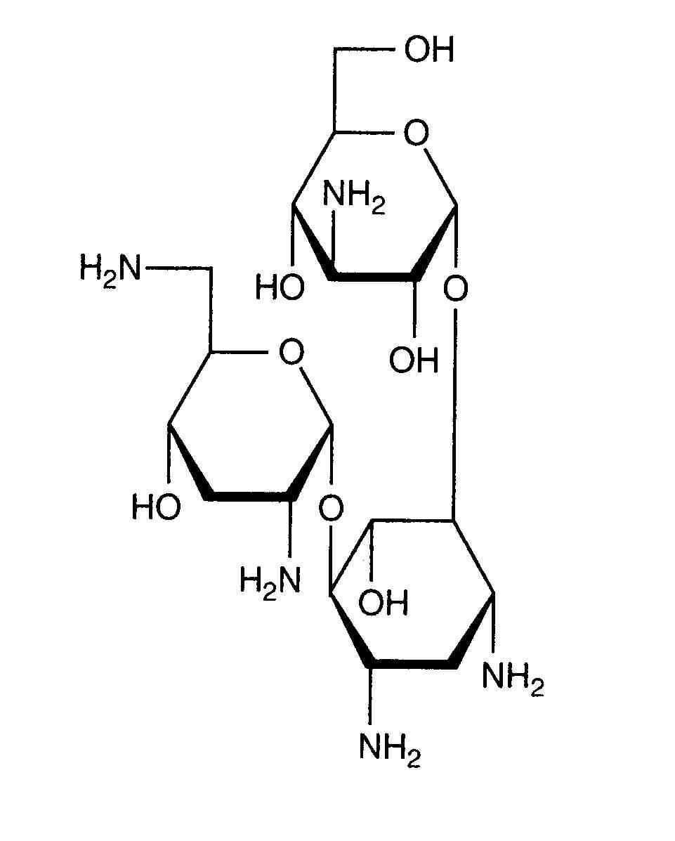
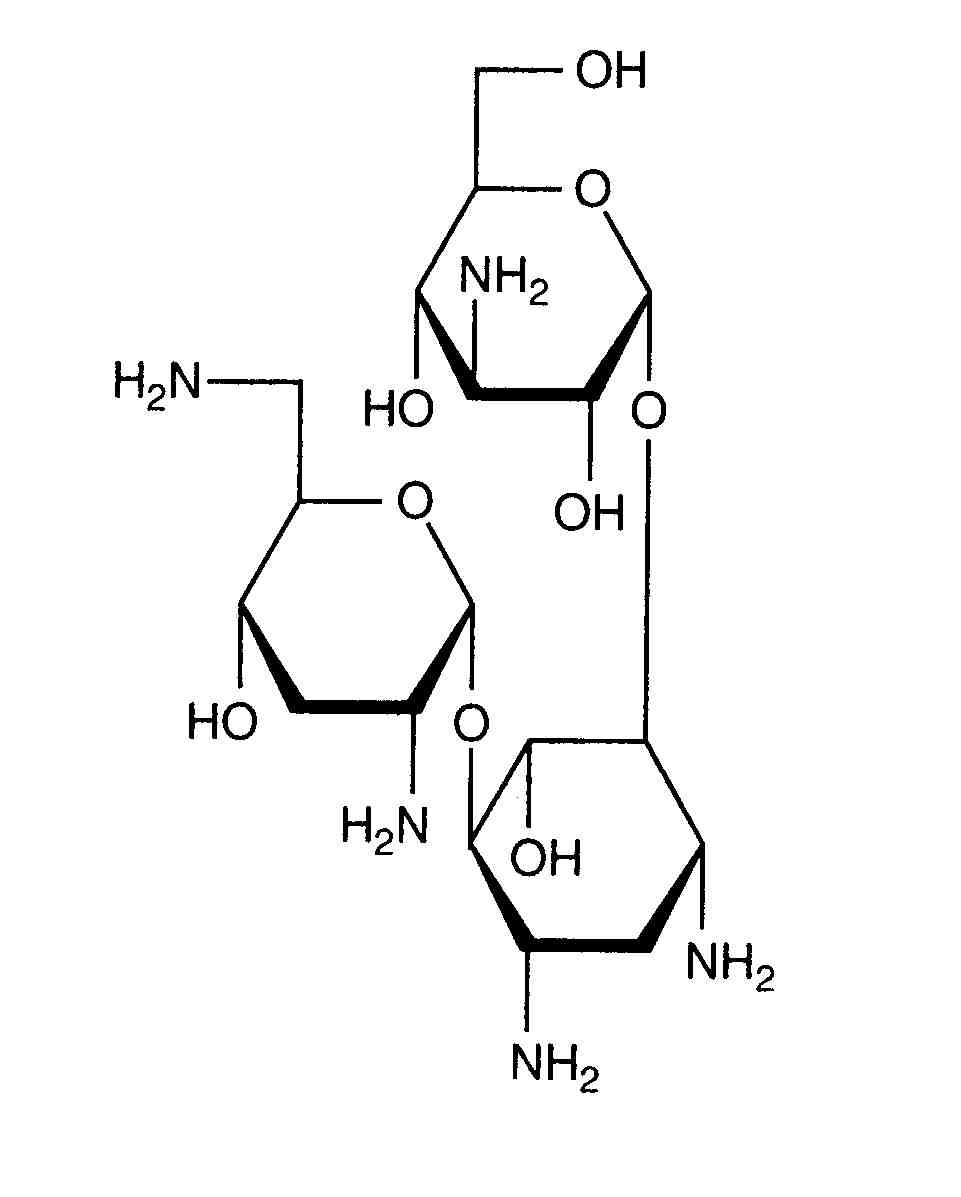
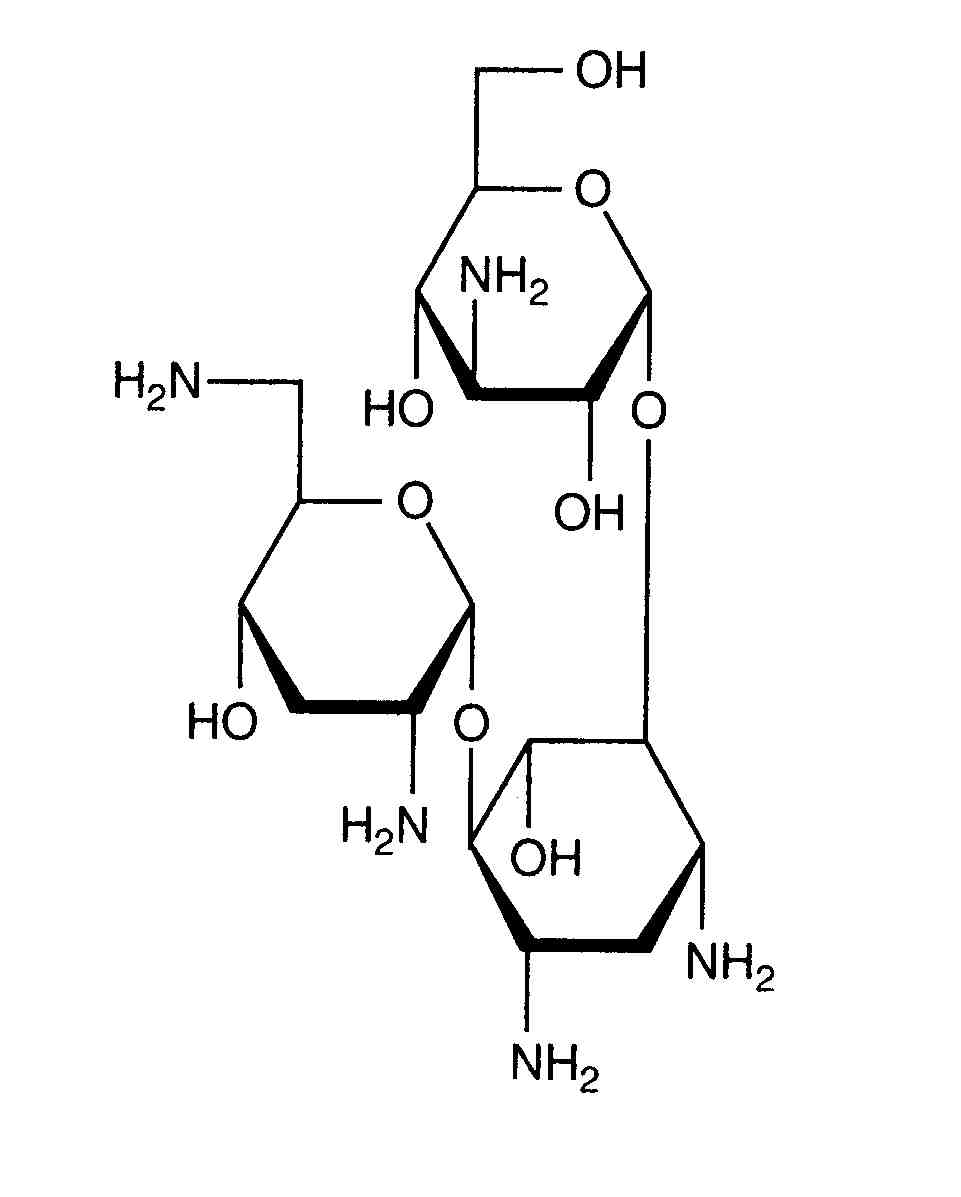
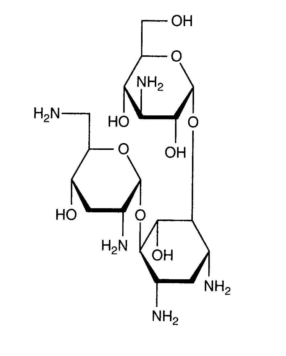
   化学構造  

点眼薬
調剤時の安定性   点眼薬   調剤時の安定性 : Tobramycin sulfate      
容器 Origine 添加剤 温度 保管 安定期間 引用文献
プラスチックボトル 注射用瓶 5 ml
Nebcin® 40 mg/ml
Tobrex® 3 mg / mL の点眼 2 ml
4-8°C 遮光
90 日
2487


  Mentions Légales