Viimeisin päivitys :
27/01/2026
Antibiootit   Tobramycin sulfate   
Silmätipat
Aerosoli Injektioneste Oraaliliuos
Vakaus lääkevalmisteen Stabilius seoksissa Tekijät, jotka vaikuttavat stabiliuteen Yhteensopivuus Viitteet pdf
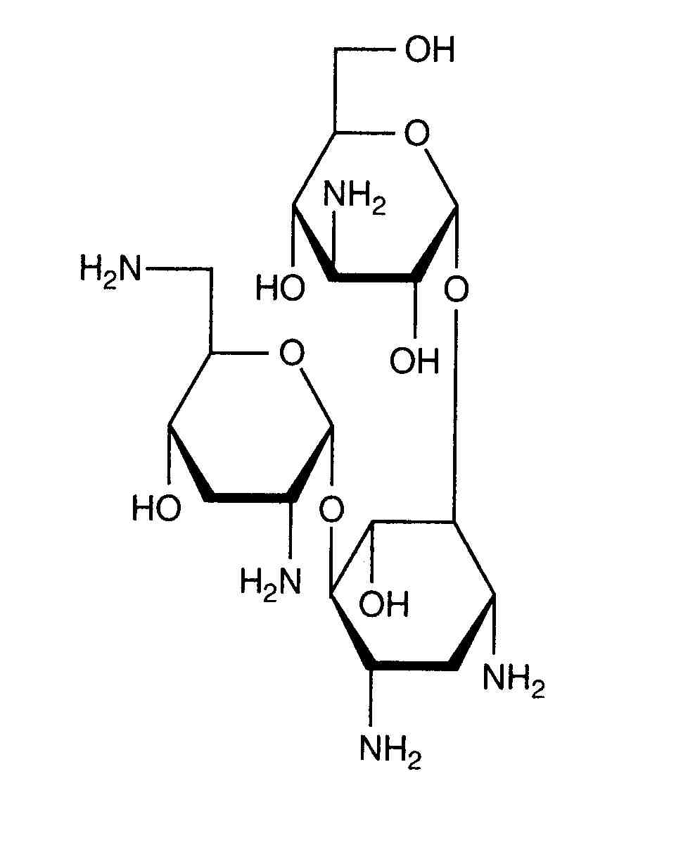
   Kemiallinen rakenne  

Silmätipat
Vakaus lääkevalmisteen   Silmätipat   Vakaus lääkevalmisteen : Tobramycin sulfate      
Astia Origine Apuaine Lämpötila Säilytys Vakauden kesto Viitteet
Muovipullo Injektionestepullo 5 ml
Nebcin® 40 mg/ml
Tobrex® 3 mg/ml silmätipat 2 ml
4-8°C Suojattava valolta
90 Päivä
2487


  Mentions Légales