Останнє оновлення :
27/04/2026
Infostab
Список препаратів
Зведені списки
Пошук сумісності
Таблиця сумісності Y-site
Список літератури
Дослідницькі групи
valistab
Плакати
Посилання
Спонсори
Автори
Посібник користувача
Newsletter
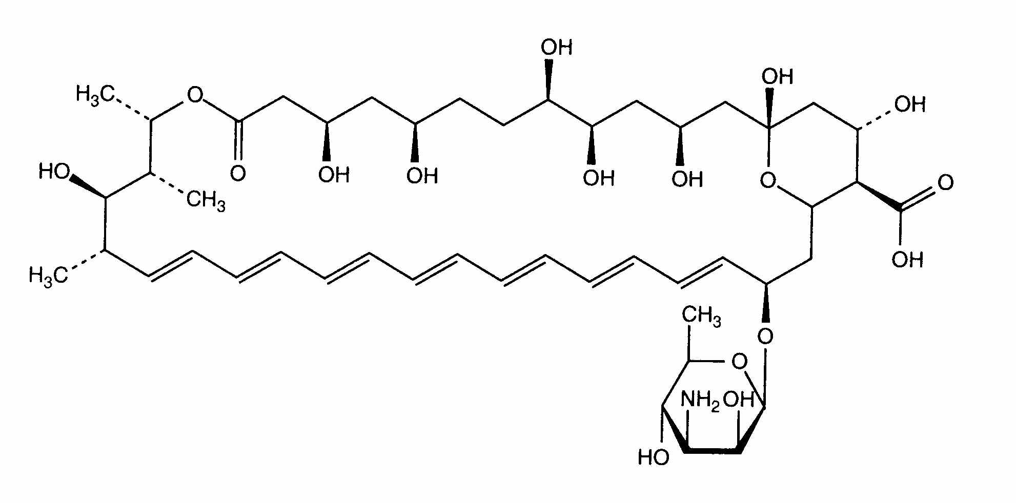
Amphotericin B
Хімічна структура
Стабільність фармацевтичних препаратів : Amphotericin B
3700 mg
Fungizone®
Бікарбонат натрію
1.4% >> 500 ml
19-23°C
3
2820
3700 mg
Fungizone®
Бікарбонат натрію
1.4% >> 500 ml
19-23°C
3
2820
3700 mg
Fungizone®
Бікарбонат натрію
1.4% >> 500 ml
4°C
15
2820
Mentions Légales