最新更新 :
27/04/2026
抗真菌药   Amphotericin B  
漱口水
口服剂 气雾剂 注射液 眼药水
制剂的稳定性 混合物稳定性 影响稳定性的因素 兼容性 引用文献 PDF
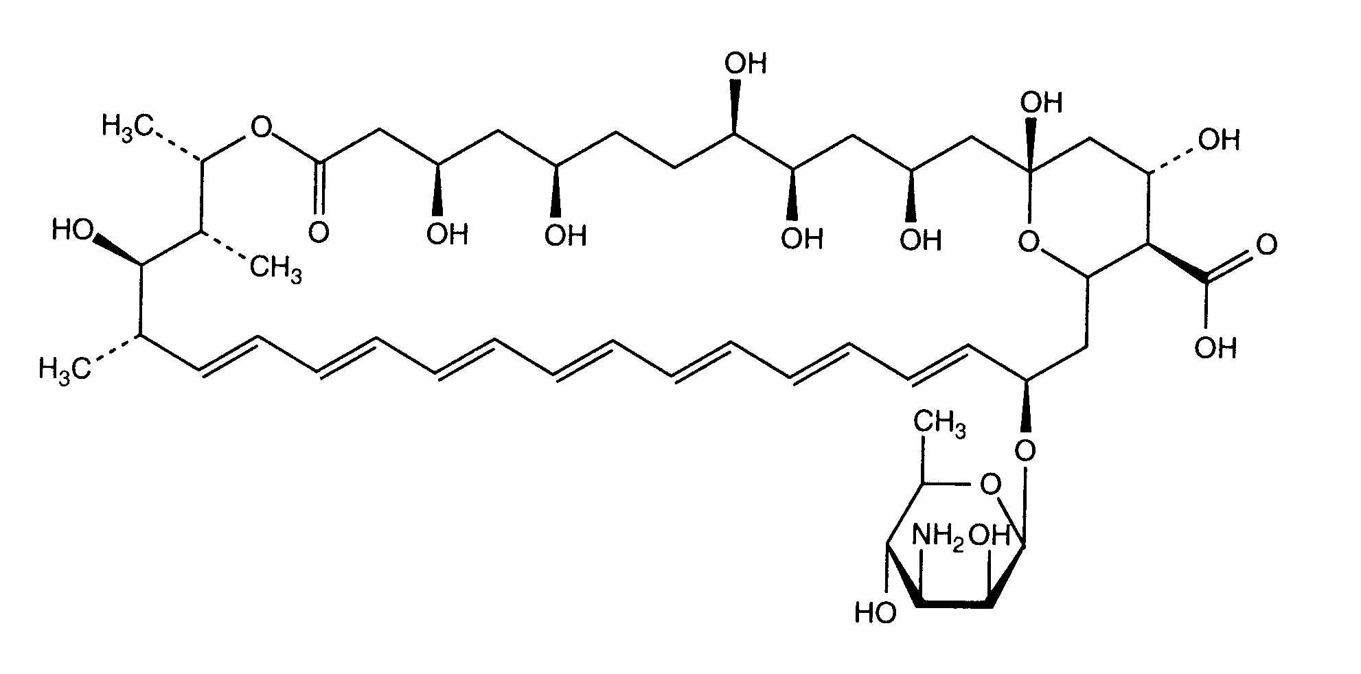
   化学式  

漱口水
制剂的稳定性   漱口水   制剂的稳定性 : Amphotericin B     
容器 Origine 添加剂 温度 保存 穩定持續時間 引用文献
玻璃 粉剂 3700 mg
Fungizone®
碳酸氢钠 1.4% >> 500 ml
19-23°C 避光
3 白天
2820

聚丙烯 粉剂 3700 mg
Fungizone®
碳酸氢钠 1.4% >> 500 ml
19-23°C 光/避光
3 白天
2820

聚丙烯 粉剂 3700 mg
Fungizone®
碳酸氢钠 1.4% >> 500 ml
4°C 避光
15 白天
2820


  Mentions Légales