Última actualización :
27/04/2026
Antifúngico   Amphotericin B  
Enjuagues bucales
Aerosol Gotas oculares Inyectables Solución Oral
La estabilidad de las preparaciones farmacéuticas Estabilidad en mezcla Factores que influyen sobre la estabilidad Compatibilidades Bibliografía pdf
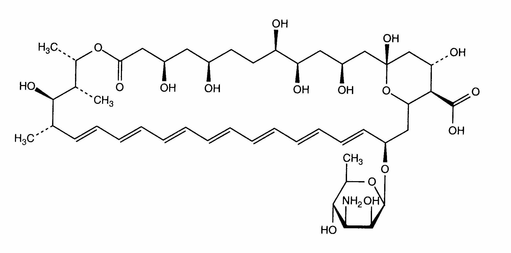
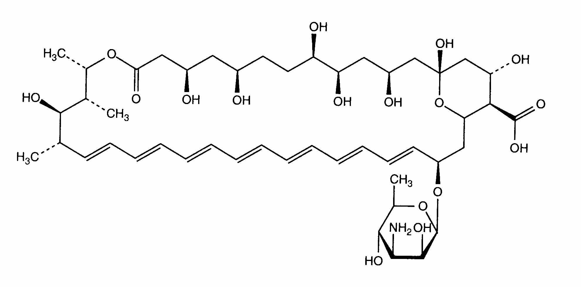
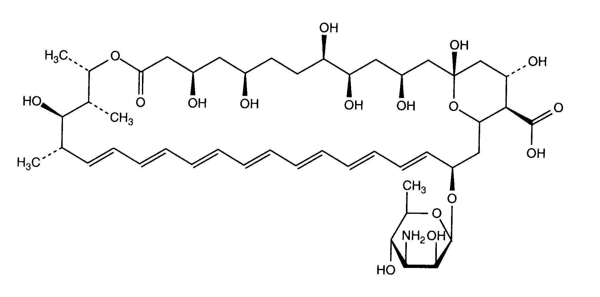
   Estructura química  

Enjuagues bucales
La estabilidad de las preparaciones farmacéuticas   Enjuagues bucales   La estabilidad de las preparaciones farmacéuticas : Amphotericin B     
Envase Origine Excipiente Temperatura Conservación Duración de la estabilidad Bibliografía
Vidrio Polvo 3700 mg
Fungizone®
Bicarbonato de sodio 1.4% >> 500 ml
19-23°C A cubierto de la luz
3 Día
2820

Polipropileno Polvo 3700 mg
Fungizone®
Bicarbonato de sodio 1.4% >> 500 ml
19-23°C Con o sin luz
3 Día
2820

Polipropileno Polvo 3700 mg
Fungizone®
Bicarbonato de sodio 1.4% >> 500 ml
4°C A cubierto de la luz
15 Día
2820


  Mentions Légales