Viimeisin päivitys :
27/04/2026
Sienilääkkeet   Amphotericin B  
Suuvesi
Aerosoli Injektioneste Oraaliliuos Silmätipat
Vakaus lääkevalmisteen Stabilius seoksissa Tekijät, jotka vaikuttavat stabiliuteen Yhteensopivuus Viitteet pdf
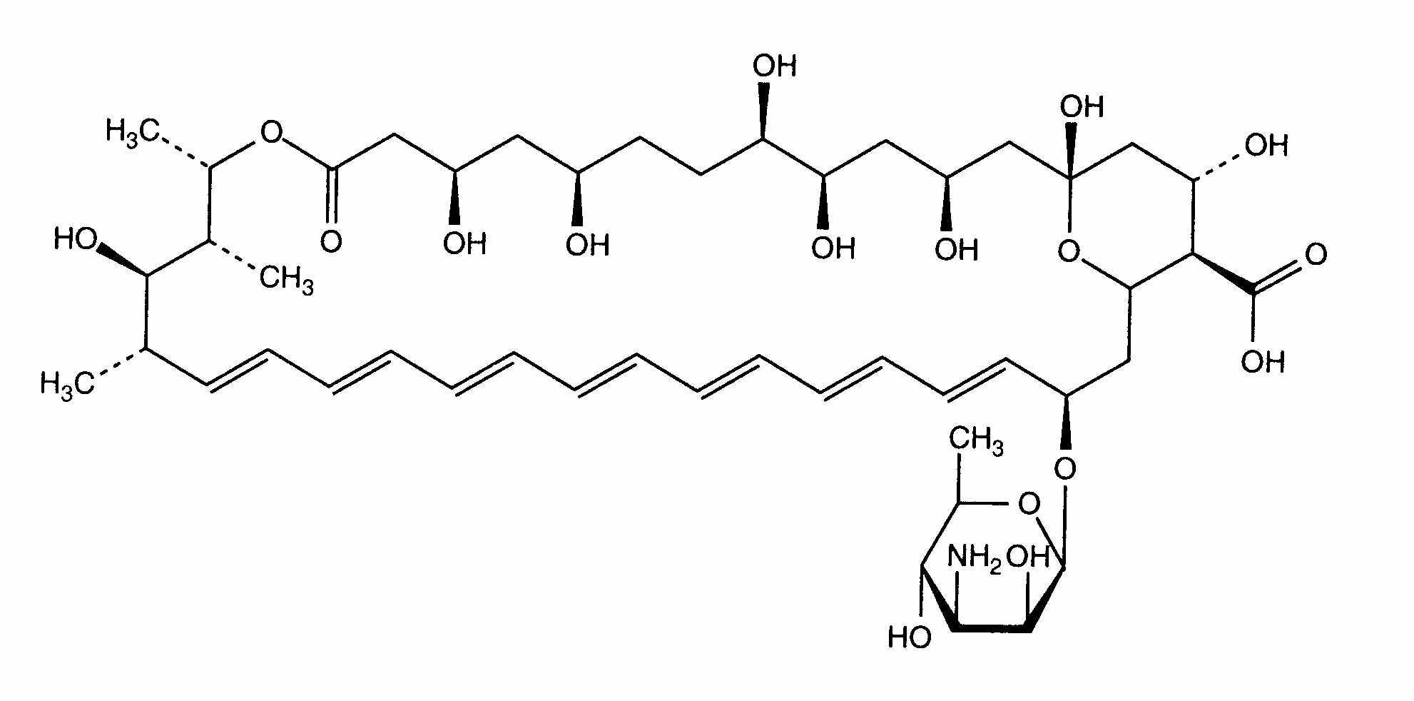
   Kemiallinen rakenne  

Suuvesi
Vakaus lääkevalmisteen   Suuvesi   Vakaus lääkevalmisteen : Amphotericin B     
Astia Origine Apuaine Lämpötila Säilytys Vakauden kesto Viitteet
Lasi Jauhe 3700 mg
Fungizone®
Natriumbikarbonaatti 1.4% >> 500 ml
19-23°C Suojattava valolta
3 Päivä
2820

Polypropyleeni Jauhe 3700 mg
Fungizone®
Natriumbikarbonaatti 1.4% >> 500 ml
19-23°C Valossa tai suojassa valolta
3 Päivä
2820

Polypropyleeni Jauhe 3700 mg
Fungizone®
Natriumbikarbonaatti 1.4% >> 500 ml
4°C Suojattava valolta
15 Päivä
2820


  Mentions Légales