zadnja posodobitev :
27/04/2026
Antimikotik   Amphotericin B  
Ustna voda
Aerosol Brizgalka Kapljice za oči Peroralna raztopina
Stabilnost farmacevtskih preparatov Stabilnost mešanice Faktorji, ki vplivajo na stabilnost Kompatibilnost Viri pdf
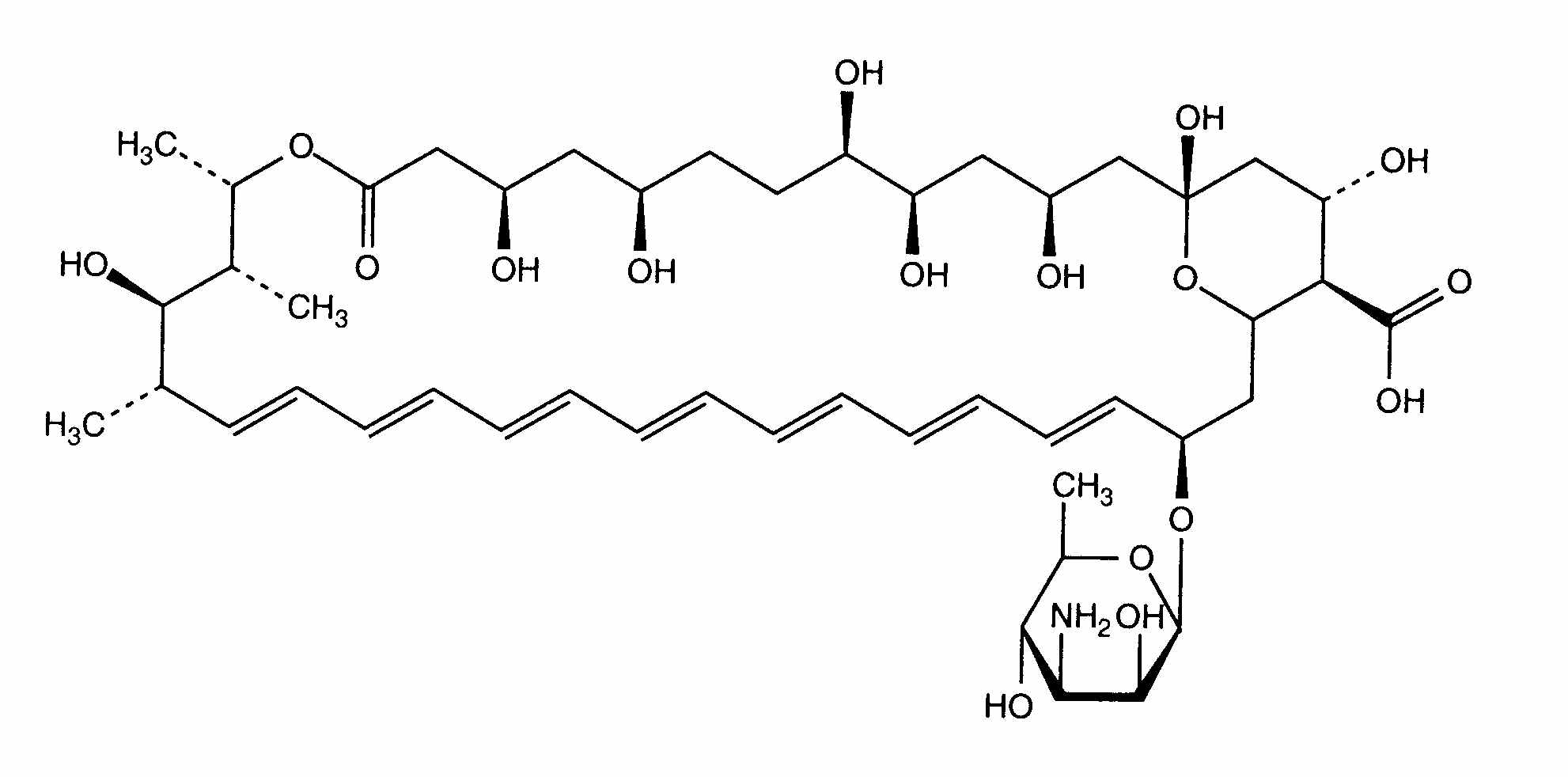
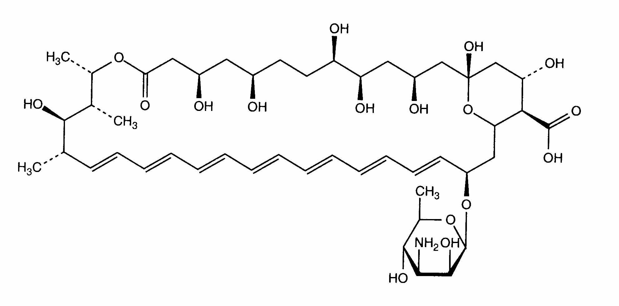
   Kemična formula  

Ustna voda
Stabilnost farmacevtskih preparatov   Ustna voda   Stabilnost farmacevtskih preparatov : Amphotericin B     
Vsebnik Origine Ekscipient Temperatura Shranjevanje Trajanje stabilnosti Viri
Steklo Prašek 3700 mg
Fungizone®
Natrijev bikarbonat 1.4% >> 500 ml
19-23°C Zaščiteno pred svetlobo
3 Dan
2820

Polipropilen Prašek 3700 mg
Fungizone®
Natrijev bikarbonat 1.4% >> 500 ml
19-23°C Z ali brez svetlobe
3 Dan
2820

Polipropilen Prašek 3700 mg
Fungizone®
Natrijev bikarbonat 1.4% >> 500 ml
4°C Zaščiteno pred svetlobo
15 Dan
2820


  Mentions Légales