Letztes “update” :
27/01/2026
Antifungoid   Amphotericin B  
Mundspüllösung
Aerosol Augentropfen Injektion Lösung zum Einnehmen
Stabilität von pharmazeutischen Präparaten Gemengestabilität Stabilitätbeeinflussende Faktoren Kompatibilitäten Literaturverzeichnis pdf
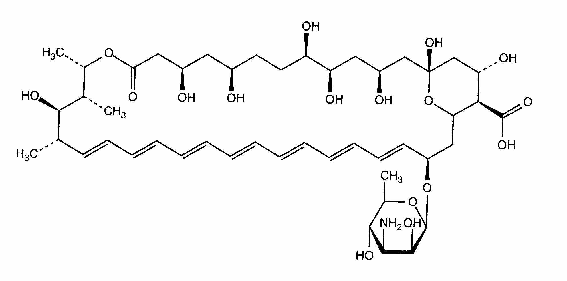
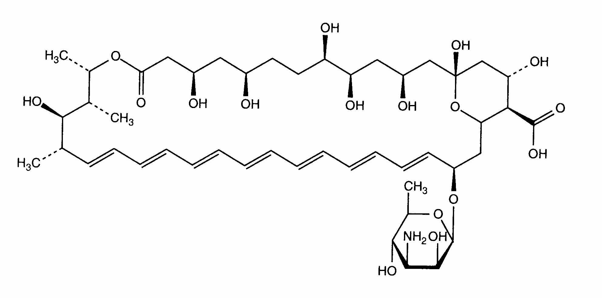
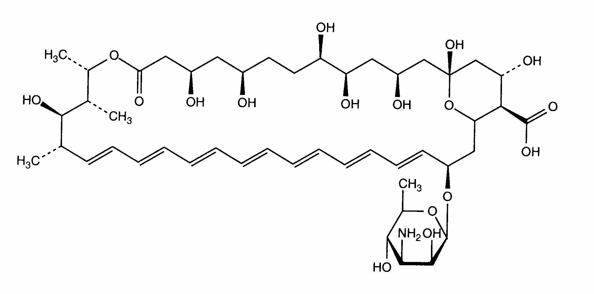
   Chemische Struktur  

Mundspüllösung
Stabilität von pharmazeutischen Präparaten   Mundspüllösung   Stabilität von pharmazeutischen Präparaten : Amphotericin B     
Behälter Origine Hilfsstoff Temperatur Konservierung Dauer der Stabilität Literaturverzeichnis
Glas Pulver 3700 mg
Fungizone®
Natriumbicarbonat 1.4% >> 500 ml
19-23°C Ohne Licht
3 Tag
2820

Polypropylen Pulver 3700 mg
Fungizone®
Natriumbicarbonat 1.4% >> 500 ml
19-23°C Mit oder ohne Licht
3 Tag
2820

Polypropylen Pulver 3700 mg
Fungizone®
Natriumbicarbonat 1.4% >> 500 ml
4°C Ohne Licht
15 Tag
2820


  Mentions Légales