Laatste update :
05/12/2025
Antimycoticum   Amphotericin B  
gorgelen
Aerosol injecteerbaar geneesmiddel Oogwater Orale Oplossing
Stabiliteit van farmaceutische preparaten Stabiliteit in mengsels Factoren die de stabiliteit beïnvloeden Verenigbaarheden Literatuur pdf
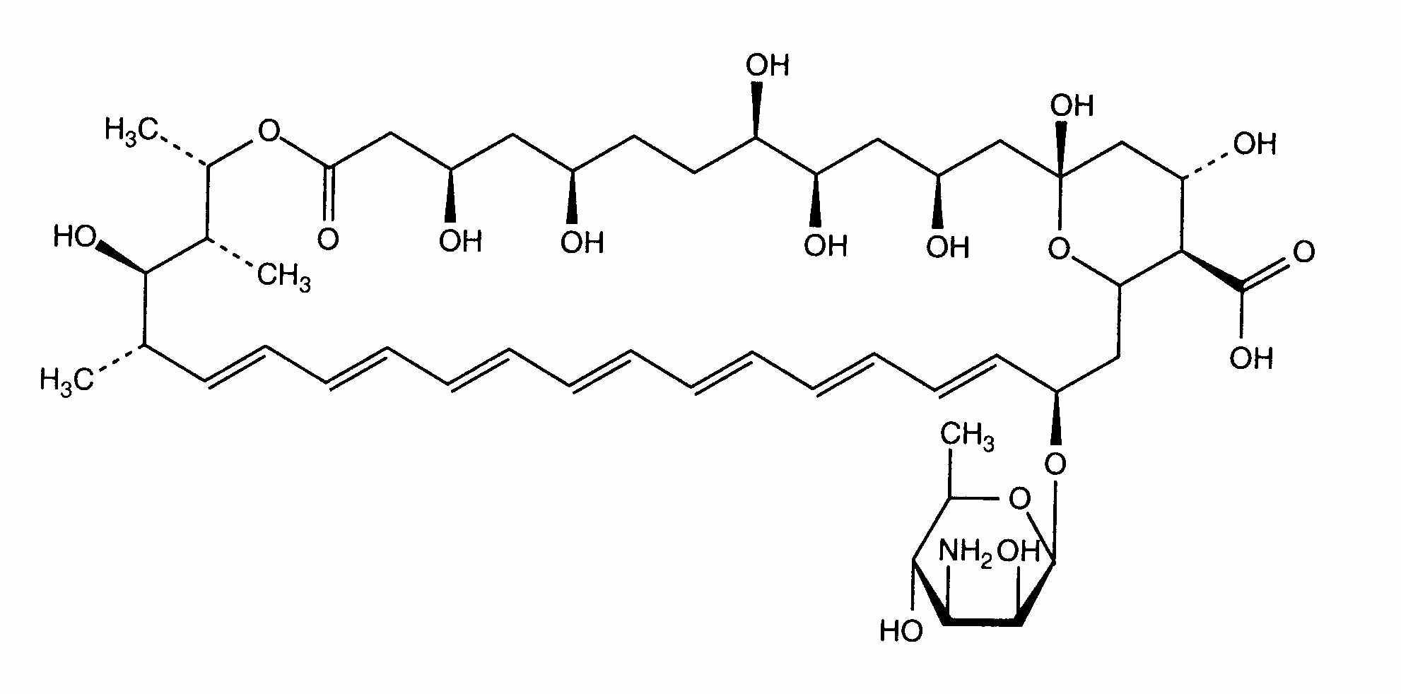
   Molecuulstructuur  

gorgelen
Stabiliteit van farmaceutische preparaten   gorgelen   Stabiliteit van farmaceutische preparaten : Amphotericin B     
Verpakking Origine  ikˈsipēənt hulpstof Temperatuur Bewaring Duur van de stabiliteit Literatuur
Glas poeder 3700 mg
Fungizone®
natriumbicarbonaat 1.4% >> 500 ml
19-23°C Buiten invloed van licht
3 Dag
2820

Polypropyleen (PP) poeder 3700 mg
Fungizone®
natriumbicarbonaat 1.4% >> 500 ml
19-23°C Met of zonder licht
3 Dag
2820

Polypropyleen (PP) poeder 3700 mg
Fungizone®
natriumbicarbonaat 1.4% >> 500 ml
4°C Buiten invloed van licht
15 Dag
2820


  Mentions Légales