Останнє оновлення :
27/01/2026
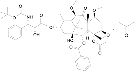
Протипухлинний препарат   Cabazitaxel  
ін'єкція
Стійкість в розчинах Стійкість сумішей Фактори, що впливають на стабільність Сумісність Шлях введення Список літератури pdf
   Хімічна структура  

Торгова назва   Торгова назва     

Торгові назви є орієнтовними, а склад допоміжних речовин може бути різним залежно від країни та виробника

Cabazil Аргентина
Cabazitaxel Іспанія, Данія, Німеччина, Фінляндія
Cecalter Аргентина
Jevtana Ісландія, Іспанія, Італія, Австралія, Аргентина, Бельгія, Бразилія, Великобританія, Данія, Еквадор, Канада, Колумбія, Малайзія, Мексика, Німеччина, Норвегія, Перу, Румунія, Словенія, Сполучені Штати Америки, Туреччина, Фінляндія, Франція, Чилі, Швейцарія
Proazitax Бразилія
Xatiza Чилі
Zitat Аргентина
Шлях введення   Шлях введення :Cabazitaxel     
Маршрут
Внутрішньовенне вливання

  Mentions Légales