Last update :
27/01/2026
Anticancer drug   Cabazitaxel  
injection
Stability in solutions Stability of mixtures Factors which affect stability Compatibility Route of administration References pdf
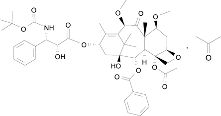
   Chemical structure  

Tradename   Tradename     

Trade names are indicative and excipients composition can be different depending on the country and manufacturers

Cabazil Argentina
Cabazitaxel Denmark, Finland, Germany, Spain
Cecalter Argentina
Jevtana Argentina, Australia, Belgium, Brazil, Canada, Chile, Colombia, Denmark, Ecuador, Finland, France, Germany, Great Britain, Iceland, Italy, Malaysia, Mexico, Norway, Peru, Romania, Slovenia, Spain, Switzerland, Turkey, United States of America
Proazitax Brazil
Xatiza Chile
Zitat Argentina
Route of administration   Route of administration :Cabazitaxel     
Route
Intravenous infusion

  Mentions Légales