Laatste update :
27/01/2026
geneesmiddel tegen kanker   Cabazitaxel  
injecteerbaar geneesmiddel
Stabiliteit in oplossing Stabiliteit in mengsels Factoren die de stabiliteit beïnvloeden Verenigbaarheden Toedieningswijze Literatuur pdf
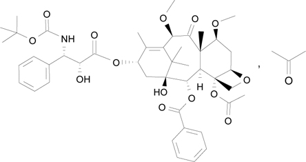
   Molecuulstructuur  

Merknamen in verschillende landen   Merknamen in verschillende landen     

Handelsnamen zijn slechts een indicatie; de samenstelling van hulpstoffen kan per land variëren afhankelijk van de fabrikant

Cabazil Argentinië
Cabazitaxel Denemarken, Duitsland, Finland, Spanje
Cecalter Argentinië
Jevtana Argentinië, Australië, België, Brazilië, Canada, Chili, Colombia, Denemarken, Duitsland, Ecuador, Finland, Frankrijk, Groot Britannië, IJsland, Italië, Maleisië, Mexico, Noorwegen, Peru, Roemenië, Slovenië, Spanje, Turkije, USA, Zwitserland
Proazitax Brazilië
Xatiza Chili
Zitat Argentinië
Toedieningswijze   Toedieningswijze :Cabazitaxel     
Voie
Intraveneus infuus

  Mentions Légales