Senaste uppdateringen :
27/01/2026
cancerläkemedel   Cabazitaxel  
injektion
Lösningars stabilitet Stabilitet i blandningar Faktorer som påverkar stabiliteten Kompatibilitet Administreringssätt Hänvisningar pdf
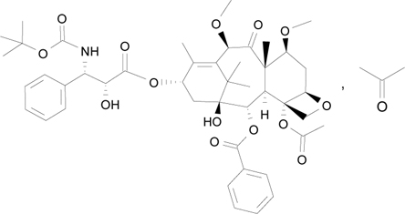
   Molekylstruktur  

Varunamn   Varunamn     

Angivna handelsnamn på läkemedel är enbart vägledande då formulering inklusive hjälpämnen kan variera mellan länder och tillverkare

Cabazil Argentina
Cabazitaxel Danmark, Finland, Spanien, Tyskland
Cecalter Argentina
Jevtana Argentina, Australien, Belgien, Brasilien, Chile, Colombia, Danmark, Ecuador, Finland, Förenta Staterna, Frankrike, Island, Italien, Kanada, Malaysia, Mexiko, Norge, Peru, Rumänien, Schweiz, Slovenien, Spanien, Storbritannien, Turkiet, Tyskland
Proazitax Brasilien
Xatiza Chile
Zitat Argentina
Administreringssätt   Administreringssätt :Cabazitaxel     
Voie
Intravenös infusion

  Mentions Légales