最新更新 :
27/01/2026
細胞増殖抑制薬   Cabazitaxel  
注射薬
溶媒内の安定性 混合時の安定性 安定性に影響する因子 互換性 投与経路 引用文献 PDF
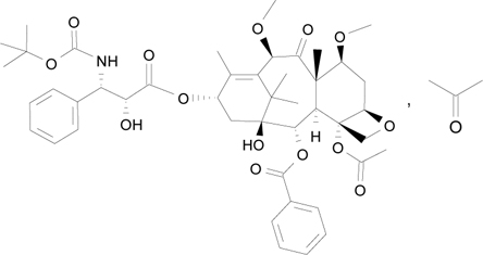
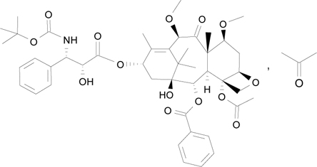
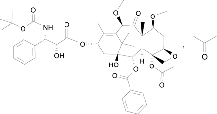
   化学構造  

商品名   商品名     

商品名、賦形剤は国、製薬会社ごとに異なることがあります

Cabazil アルゼンチン
Cabazitaxel スペイン, デンマーク, ドイツ, フィンランド
Cecalter アルゼンチン
Jevtana アイスランド, アメリカ, アルゼンチン, アーストラリア, イギリス, イタリア, エクアドル, カナダ, コロンビア, スイス, スペイン, スロベニア, チリ, デンマーク, トルコ, ドイツ, ノルウェー, フィンランド, フランス, ブラジル, ベルギー, ペルー, マレーシア, メキシコ, ルーマニア
Proazitax ブラジル
Xatiza チリ
Zitat アルゼンチン
投与経路   投与経路 :Cabazitaxel     
経路
点滴静注

  Mentions Légales