Τελευταία ενημέρωση :
27/01/2026
φάρμακο κατά του καρκίνου   Cabazitaxel  
Ενέσιμο
Σταθερότητα διαλυμάτων Σταθερότητα σε μίγματα Παράγοντας που επηρεάζει τη σταθερότητα Συμβατότητες Τρόπος χορήγησης Βιβλιογραφία pdf
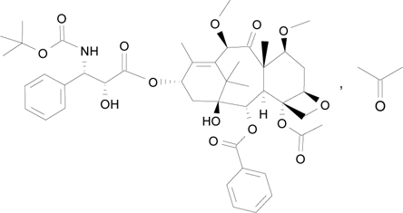
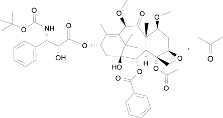
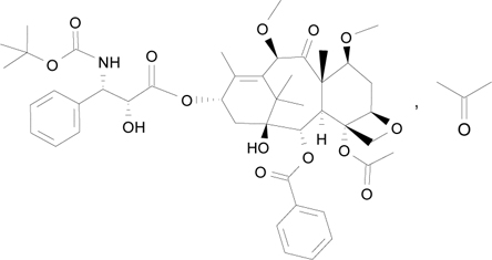
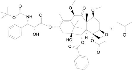
   χημική δομή  

Εμπορική ονομασία   Εμπορική ονομασία     

Οι εμπορικές ονομασίες είναι ενδεικτικές και η σύνθεση των εκδόχων μπορεί να διαφέρει ανάλογα με τη χώρα και τα εργαστήρια

Cabazil Αργεντινή
Cabazitaxel Γερμανία, Δανία, Ισπανία, Φινλανδία
Cecalter Αργεντινή
Jevtana Αργεντινή, Αυστραλία, Βέλγιο, Βραζιλία, Γαλλία, Γερμανία, Δανία, Εκουαδόρ, Ελβετία, Η.Π.Α., Ισλανδία, Ισπανία, Ιταλία, Καναδάς, Κολομβία, Μαλαισία, Μεγάλη Βρετανία, Μεξικό, Νορβηγία, Περού, Ρουμανία, Σλοβενία, Τουρκία, Φινλανδία, Χιλή
Proazitax Βραζιλία
Xatiza Χιλή
Zitat Αργεντινή
Τρόπος χορήγησης   Τρόπος χορήγησης :Cabazitaxel     
Voie
Ενδοφλέβια έκχυση

  Mentions Légales