Pēdējā atjaunošana :
27/01/2026
vēzis narkotiku   Cabazitaxel  
Injekcija
Šķīduma stabilitāte Maisījuma stabilitāte Stabilitāti ietekmējoši faktori Saderība Levadīšanas veids Literatūras saraksts pdf
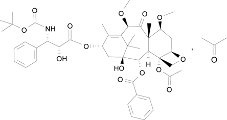
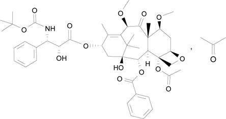
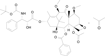
   Ķīmiskā uzbūve   

Oriģinālais nosaukums   Oriģinālais nosaukums     

Tirdzniecības nosaukumi ir apzīmējoši un palīgvielas var atšķirties dažādām valstīm un laboratorijām

Cabazil Argentīna
Cabazitaxel Dānija, Somija, Spānija, Vācija
Cecalter Argentīna
Jevtana Amerikas Savienotās Valstis, Argentīna, Austrālija, Beļģija, Brazīlija, Čīle, Dānija, Ekvadora, Francija, Islande, Itālija, Kanāda, Kolumbija, Lielbritānija, Malaizija, Meksika, Norvēģija, Peru, Rumānija, Slovēnija, Somija, Spānija, Šveice, Turcija, Vācija
Proazitax Brazīlija
Xatiza Čīle
Zitat Argentīna
Levadīšanas veids   Levadīšanas veids :Cabazitaxel     
Voie
Intravenoza infūzija

  Mentions Légales