Seneste opdatering :
27/01/2026
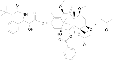
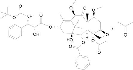
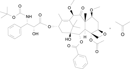
anticancer medicin   Cabazitaxel  
Injektion
Stabilitet i (vandige) opløsninger Stabilitet i blandinger Faktorer der påvirker stabiliteten Kompatibilitet Administrationsvej Bibliografi pdf
   Kemisk struktur  

Handelsnavn   Handelsnavn     

Handel navne er vejledende og hjælpestoffer sammensætning kan være forskellig afhængigt af landet og laboratorier

Cabazil Argentina
Cabazitaxel Danmark, Finland, Spanien, Tyskland
Cecalter Argentina
Jevtana Argentina, Australien, Belgien, Brasilien, Canada, Chile, Colombia, Danmark, Ecuador, Finland, Frankrig, Island, Italien, Malaysia, Marokko, Mexico, Norge, Rumænien, Schweiz, Slovenien, Spanien, Storbritanien, Tyrkiet, Tyskland, USA
Proazitax Brasilien
Xatiza Chile
Zitat Argentina
Administrationsvej   Administrationsvej :Cabazitaxel     
Voie
Intravenøs infusion

  Mentions Légales