Son güncelleme :
05/12/2025
elektrolit   Calcium gluconate  
Merhem
Enjeksiyon
Farmasötik preparatlar Kararlılığı Karışımlardaki stabilitesi Stabiliteyi etkileyen faktörler Uyumluluk Kaynaklar pdf
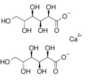
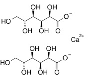
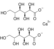
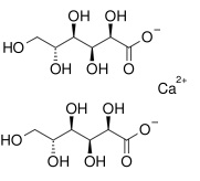
   Kimyasal yapı   

Merhem
Farmasötik preparatlar Kararlılığı   Merhem   Farmasötik preparatlar Kararlılığı : Calcium gluconate     
Saklama kabı Origine yardımcı madde Isı Saklama    Stabilite süresi Kaynaklar
Cam Toz 2.5 g
Calcium gluconate
Hidroksietilselüloz 3 g
Propilen Glikol 5 g
Arıtılmış su 87 g
25°C Belirtilmemiş
180 Gün
3017


  Mentions Légales