zadnja posodobitev :
27/04/2026
elektrolit   Calcium gluconate  
Mazila
Brizgalka
Stabilnost farmacevtskih preparatov Stabilnost mešanice Faktorji, ki vplivajo na stabilnost Kompatibilnost Viri pdf
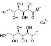
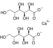
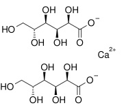
   Kemična formula  

Mazila
Stabilnost farmacevtskih preparatov   Mazila   Stabilnost farmacevtskih preparatov : Calcium gluconate     
Vsebnik Origine Ekscipient Temperatura Shranjevanje Trajanje stabilnosti Viri
Steklo Prašek 2.5 g
Calcium gluconate
Hidroksietilceluloza 3 g
Propilenglikol 5 g
Prečiščena voda 87 g
25°C Nedoločeno
180 Dan
3017


  Mentions Légales