Dernière mise à jour :
27/01/2026
électrolyte   Calcium gluconate  
Forme dermique
injectable
Stabilité des préparations Stabilité en mélange Facteur influençant la stabilité Compatibilités Bibliographie pdf
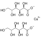
   Structure chimique  

Forme dermique
Stabilité des préparations   Forme dermique   Stabilité des préparations : Calcium gluconate     
Contenant Origine Excipient Température Conservation Durée de stabilité Bibliographie
Verre Poudre 2.5 g
Calcium gluconate
Hydroxyéthylcellulose 3 g
propylène Glycol 5 g
Eau purifiée 87 g
25°C Non précisée
180 Jour
3017


  Mentions Légales