Letztes “update” :
27/04/2026
Elektrolyt   Calcium gluconate  
Salben
Injektion
Stabilität von pharmazeutischen Präparaten Gemengestabilität Stabilitätbeeinflussende Faktoren Kompatibilitäten Literaturverzeichnis pdf
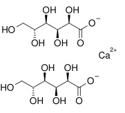
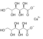
   Chemische Struktur  

Salben
Stabilität von pharmazeutischen Präparaten   Salben   Stabilität von pharmazeutischen Präparaten : Calcium gluconate     
Behälter Origine Hilfsstoff Temperatur Konservierung Dauer der Stabilität Literaturverzeichnis
Glas Pulver 2.5 g
Calcium gluconate
Hydroxyethylcellulose 3 g
Propylenglycol 5 g
Gereinigtes Wasser 87 g
25°C Nicht genau angegeben
180 Tag
3017


  Mentions Légales