Последно актуализиране :
27/04/2026
Електролитен   Calcium gluconate  
Унгвент/Унгвенти
Инжекция/Инжекционен
Стабилност на лекарствени препарати Стабилност на смеси Фактори, повлияващи стабилността Съвместимост Библиография Pdf
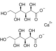
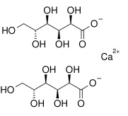
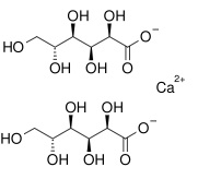
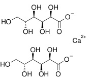
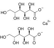
   Химична структура  

Унгвент/Унгвенти
Стабилност на лекарствени препарати   Унгвент/Унгвенти   Стабилност на лекарствени препарати : Calcium gluconate     
Контейнер Origine Помощно вещество Температура Съхранение Продължителност на стабилността Библиография
Стъкло Прах 2.5 g
Calcium gluconate
Хидроксиетилцелулоза 3 g
Пропилен гликол 5 g
Пречистена вода 87 g
25°C Не е уточнено
180 Ден
3017


  Mentions Légales