最新更新 :
27/01/2026
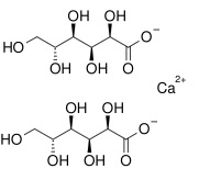
电解液   Calcium gluconate  
药膏
注射液
制剂的稳定性 混合物稳定性 影响稳定性的因素 兼容性 引用文献 PDF
   化学式  

药膏
制剂的稳定性   药膏   制剂的稳定性 : Calcium gluconate     
容器 Origine 添加剂 温度 保存 穩定持續時間 引用文献
玻璃 粉剂 2.5 g
Calcium gluconate
羟乙基纤维素 3 g
丙二醇 5 g
净化水 87 g
25°C 无特殊要求
180 白天
3017


  Mentions Légales