Ultimele actualizari :
05/12/2025
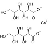
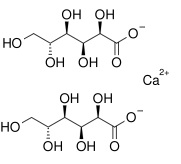
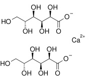
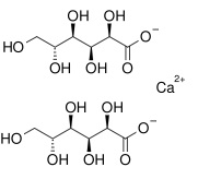
electrolit   Calcium gluconate  
Unguente
Injectabil
Stabilitatea preparatelor farmaceutice Stabilitatea in amestec Factorii care influenteaza stabilitatea Compatibilitate Bibliografie pdf
   Formula chimica  

Unguente
Stabilitatea preparatelor farmaceutice   Unguente   Stabilitatea preparatelor farmaceutice : Calcium gluconate     
Continut Origine Excipient Temperatura Conservare Durata stabilității Bibiografie
sticla praf 2.5 g
Calcium gluconate
Flidroxietilceluloza 3 g
propilen glicol 5 g
Apă purificată 87 g
25°C Neprecizat
180 Ziua
3017


  Mentions Légales