Posledná aktualizácia :
08/12/2025
antimykotikum   Amphotericin B  
Očná instilácia
Aerosól Injekcia Kloktadlo Perorálny roztok
Stabilita farmaceutických prípravkov Stabilita v zmesiach Faktory ovplyvňujúce stabilitu Kompatibility Odkazy na literatúru PDF
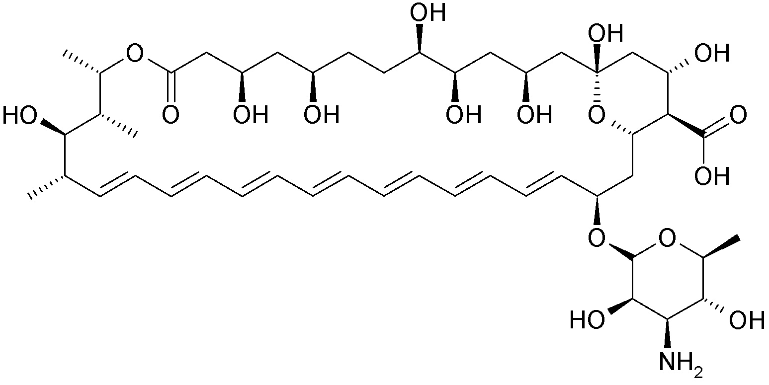
   Chemický vzorec  

Očná instilácia
Stabilita farmaceutických prípravkov   Očná instilácia   Stabilita farmaceutických prípravkov : Amphotericin B     
obal Pôvod Pomocná látka teplota uchovávanie Trvanie stability odkazy na lieteratúru
Sklo Injekčná liekovka 50 mg
Fungizone®
Uhličitan sodný 4,2% 0,1 mL
Dextróza 5% >> 10 mL
-20°C Chránené pred svetlom
60 dní
3848
Plastová fľaša Injekčná liekovka 15 mg
Fungizone®
Dextróza 5% >> 3 ml
2-6°C Chránené pred svetlom
120 dní
2867

Plastová fľaša Injekčná liekovka 15 mg
Fungizone®
Dextróza 5% >> 3 ml
20-25°C Chránené pred svetlom
16 dní
2867

Plastová fľaša Injekčná liekovka 15 mg
Fungizone®
Dextróza 5% >> 3 ml
20-25°C Za svetla
13 dní
2867

Plastová fľaša Injekčná liekovka 10 mg
Fungizone®
Dextróza 5% 4 mL
23-27°C nešpecifikované
28 dní
4487

Plastová fľaša Injekčná liekovka 10 mg
Fungizone®
Dextróza 5% 4 mL
3-7°C nešpecifikované
168 dní
4487


  Mentions Légales