Последно актуализиране :
27/04/2026
Противогъбично средство   Amphotericin B  
Капки за очи
Аерозол Инжекция/Инжекционен Орален разтвор Разтвор за уста
Стабилност на лекарствени препарати Стабилност на смеси Фактори, повлияващи стабилността Съвместимост Библиография Pdf
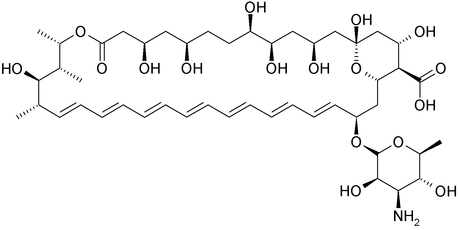
   Химична структура  

Капки за очи
Стабилност на лекарствени препарати   Капки за очи   Стабилност на лекарствени препарати : Amphotericin B     
Контейнер Origine Помощно вещество Температура Съхранение Продължителност на стабилността Библиография
Стъкло Фпакон 50 mg
Fungizone®
Натриев бикарбонат 4,2% 0,1 mL
Декстроза 5% >> 10 mL
-20°C Защита от светлина
60 Ден
3848
Пластмасова бутилка Фпакон 15 mg
Fungizone®
Декстроза 5% >> 3 ml
2-6°C Защита от светлина
120 Ден
2867

Пластмасова бутилка Фпакон 15 mg
Fungizone®
Декстроза 5% >> 3 ml
20-25°C Защита от светлина
16 Ден
2867

Пластмасова бутилка Фпакон 15 mg
Fungizone®
Декстроза 5% >> 3 ml
20-25°C Светлина
13 Ден
2867

Пластмасова бутилка Фпакон 10 mg
Fungizone®
Декстроза 5% 4 mL
23-27°C Не е уточнено
28 Ден
4487

Пластмасова бутилка Фпакон 10 mg
Fungizone®
Декстроза 5% 4 mL
3-7°C Не е уточнено
168 Ден
4487


  Mentions Légales