viimane versioon :
08/12/2025
Seenevastane ravim   Amphotericin B  
Silmatilgad
aerosool Süsteravim suukaudne lahus Suuloputus lahus
Stabiilsust ravimpreparaadid Stabiilsust mõjutavad tegurid stabiilsust mõjutavad faktorid Sobimatus Viited pdf
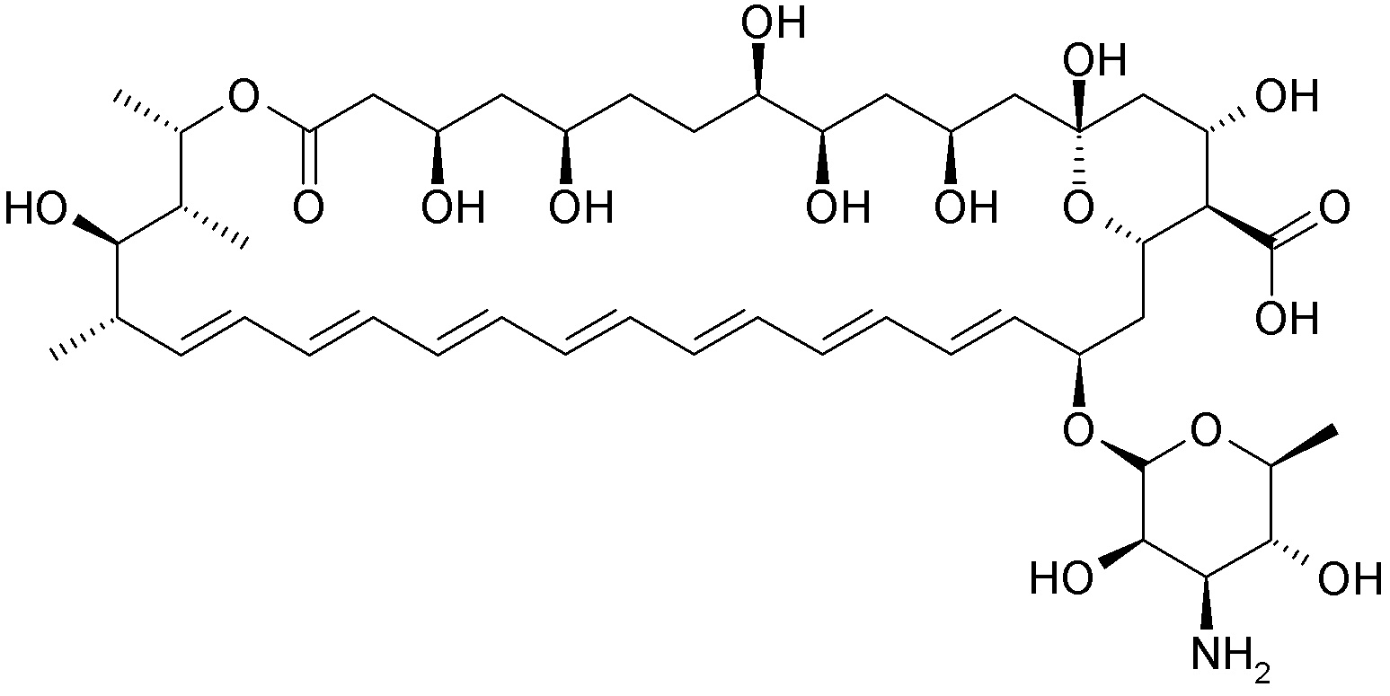
   keemiline struktuur  

Silmatilgad
Stabiilsust ravimpreparaadid   Silmatilgad   Stabiilsust ravimpreparaadid : Amphotericin B     
konteiner Origine  abiaine temperatuur ladustamine Stabiilsuse kestus Viited
klaas Süsteravimi viaal 50 mg
Fungizone®
Naatriumvesinikkarbonaat 4,2% 0,1 mL
5% glükoosi >> 10 mL
-20°C kaitsta valguse eest
60 päev
3848
Plastikpudel Süsteravimi viaal 15 mg
Fungizone®
5% glükoosi >> 3 ml
2-6°C kaitsta valguse eest
120 päev
2867

Plastikpudel Süsteravimi viaal 15 mg
Fungizone®
5% glükoosi >> 3 ml
20-25°C kaitsta valguse eest
16 päev
2867

Plastikpudel Süsteravimi viaal 15 mg
Fungizone®
5% glükoosi >> 3 ml
20-25°C valgus
13 päev
2867

Plastikpudel Süsteravimi viaal 10 mg
Fungizone®
5% glükoosi 4 mL
23-27°C pole täpsustatud
28 päev
4487

Plastikpudel Süsteravimi viaal 10 mg
Fungizone®
5% glükoosi 4 mL
3-7°C pole täpsustatud
168 päev
4487


  Mentions Légales