Viimeisin päivitys :
27/04/2026
Sienilääkkeet   Amphotericin B  
Silmätipat
Aerosoli Injektioneste Oraaliliuos Suuvesi
Vakaus lääkevalmisteen Stabilius seoksissa Tekijät, jotka vaikuttavat stabiliuteen Yhteensopivuus Viitteet pdf
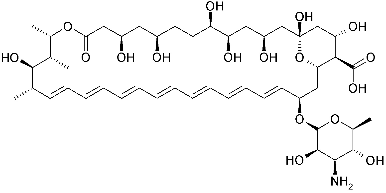
   Kemiallinen rakenne  

Silmätipat
Vakaus lääkevalmisteen   Silmätipat   Vakaus lääkevalmisteen : Amphotericin B     
Astia Origine Apuaine Lämpötila Säilytys Vakauden kesto Viitteet
Lasi Injektionestepullo 50 mg
Fungizone®
Natriumbikarbonaatti 4,2% 0,1 mL
Glukoosi 5% >> 10 mL
-20°C Suojattava valolta
60 Päivä
3848
Muovipullo Injektionestepullo 15 mg
Fungizone®
Glukoosi 5% >> 3 ml
2-6°C Suojattava valolta
120 Päivä
2867

Muovipullo Injektionestepullo 15 mg
Fungizone®
Glukoosi 5% >> 3 ml
20-25°C Suojattava valolta
16 Päivä
2867

Muovipullo Injektionestepullo 15 mg
Fungizone®
Glukoosi 5% >> 3 ml
20-25°C Valo
13 Päivä
2867

Muovipullo Injektionestepullo 10 mg
Fungizone®
Glukoosi 5% 4 mL
23-27°C Ei määritetty
28 Päivä
4487

Muovipullo Injektionestepullo 10 mg
Fungizone®
Glukoosi 5% 4 mL
3-7°C Ei määritetty
168 Päivä
4487


  Mentions Légales