Zadnji put ažurirano :
27/01/2026
antifungicid   Amphotericin B  
kapi za oko
aerosol injekcija oralna otopina  otopina za ispiranje usne šupljine
Stabilnost farmaceutskih pripravaka Stabilnost mješavine Stabilizacijski faktor Kompatibilnosti Bibliografija pdf
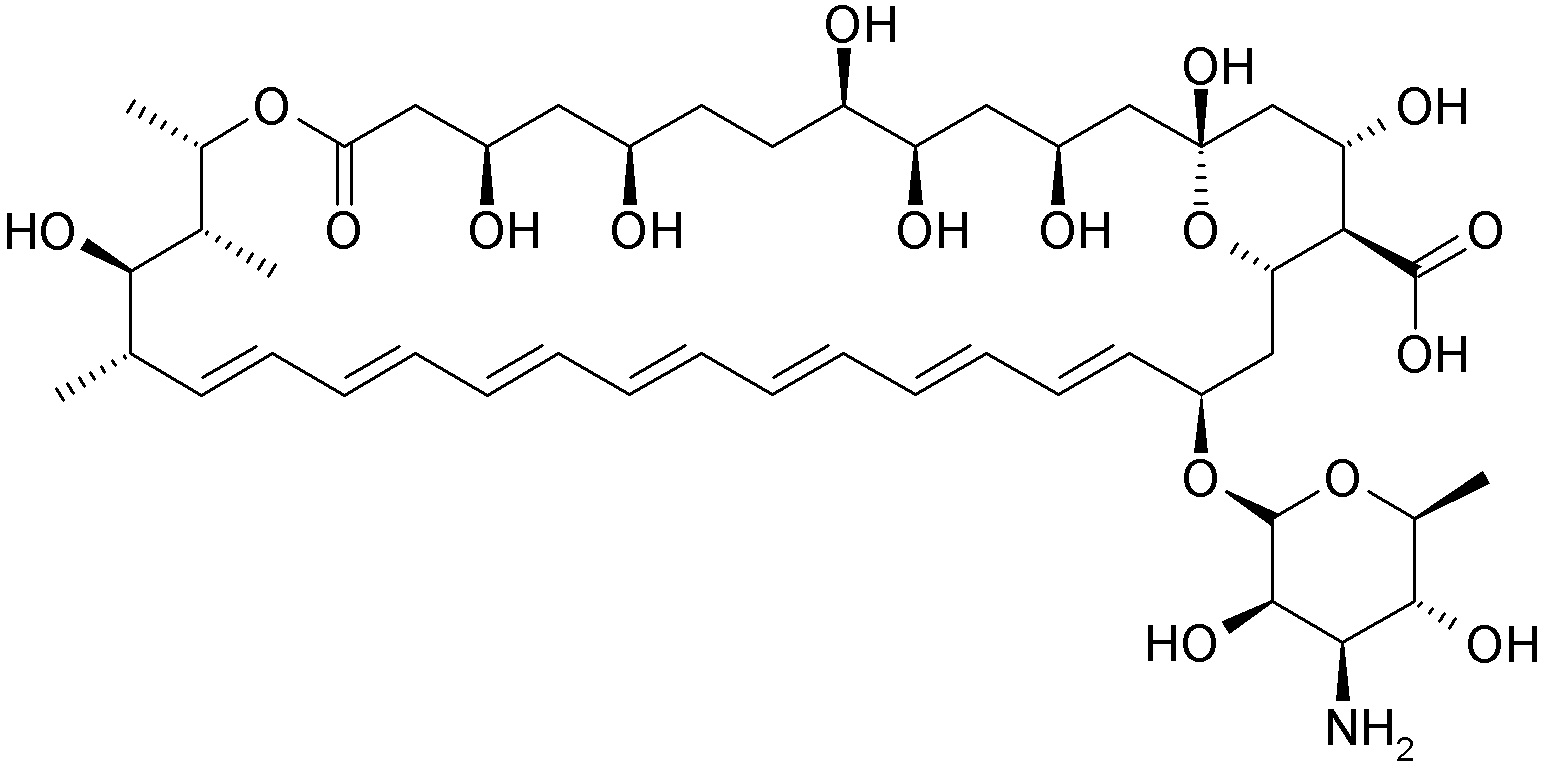
   Kemijska struktura  

kapi za oko
Stabilnost farmaceutskih pripravaka   kapi za oko   Stabilnost farmaceutskih pripravaka : Amphotericin B     
Kontejner Origine pomoćna tvar temperatura Konzerviranje Trajanje stabilnosti Bibliografija
čaša bočica za injekcije 50 mg
Fungizone®
natrij bikarbonat 4,2% 0,1 mL
Glukoza 5% >> 10 mL
-20°C Zaštićeno od svjetlosti
60 dan
3848
plastična boca bočica za injekcije 15 mg
Fungizone®
Glukoza 5% >> 3 ml
2-6°C Zaštićeno od svjetlosti
120 dan
2867

plastična boca bočica za injekcije 15 mg
Fungizone®
Glukoza 5% >> 3 ml
20-25°C Zaštićeno od svjetlosti
16 dan
2867

plastična boca bočica za injekcije 15 mg
Fungizone®
Glukoza 5% >> 3 ml
20-25°C svjetlost
13 dan
2867

plastična boca bočica za injekcije 10 mg
Fungizone®
Glukoza 5% 4 mL
23-27°C nespecifičan
28 dan
4487

plastična boca bočica za injekcije 10 mg
Fungizone®
Glukoza 5% 4 mL
3-7°C nespecifičan
168 dan
4487


  Mentions Légales