Ultimo aggiornamento :
27/04/2026
Antimicotico   Amphotericin B  
Collirio
Aerosol Collutorio Iniezione Soluzione orale
Stabilità dei preparati farmaceutici Stabilità in miscela Fattori che influenzano la stabilità Compatibilità Bibliografia pdf
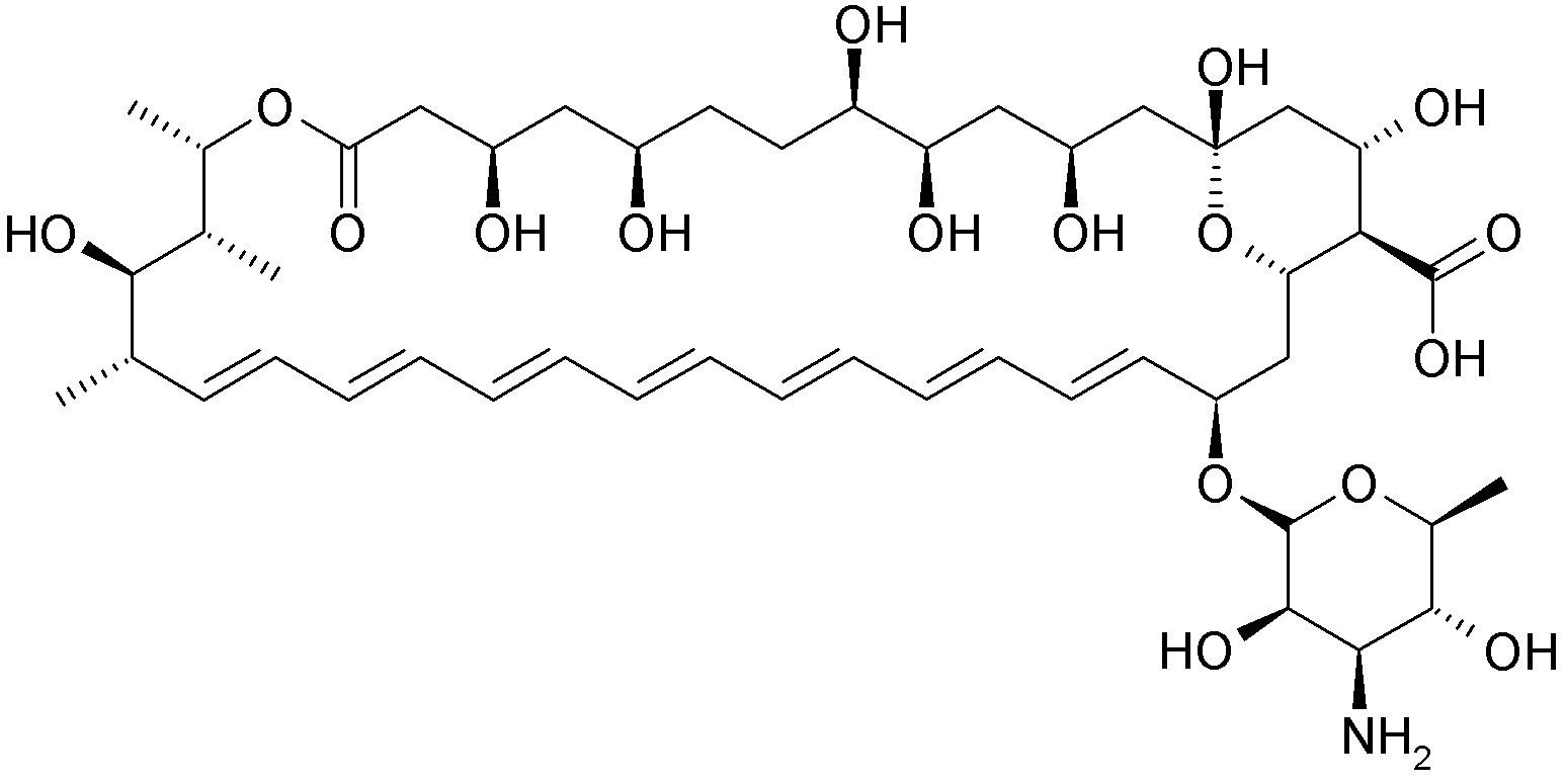
   Struttura chimica  

Collirio
Stabilità dei preparati farmaceutici   Collirio   Stabilità dei preparati farmaceutici : Amphotericin B     
contenitore Origine eccipiente Temperatura Conservazione Durata della stabilità Bibliografia
Vetro Bottiglia di medicina per l'iniezione 50 mg
Fungizone®
bicarbonato di sodio 4,2% 0,1 mL
Destrosio al 5% >> 10 mL
-20°C Al riparo dalla luce
60 Giorno
3848
bottiglia di plastica Bottiglia di medicina per l'iniezione 15 mg
Fungizone®
Destrosio al 5% >> 3 ml
2-6°C Al riparo dalla luce
120 Giorno
2867

bottiglia di plastica Bottiglia di medicina per l'iniezione 15 mg
Fungizone®
Destrosio al 5% >> 3 ml
20-25°C Al riparo dalla luce
16 Giorno
2867

bottiglia di plastica Bottiglia di medicina per l'iniezione 15 mg
Fungizone®
Destrosio al 5% >> 3 ml
20-25°C Luce
13 Giorno
2867

bottiglia di plastica Bottiglia di medicina per l'iniezione 10 mg
Fungizone®
Destrosio al 5% 4 mL
23-27°C Non precisata
28 Giorno
4487

bottiglia di plastica Bottiglia di medicina per l'iniezione 10 mg
Fungizone®
Destrosio al 5% 4 mL
3-7°C Non precisata
168 Giorno
4487


  Mentions Légales