Última actualização :
08/12/2025
Antifúngico   Amphotericin B  
solução oftálmica
aerossol colutório injetável Solução Oral
Estabilidade de preparações farmacêuticas Estabilidade em misturas Factores que afectam a sua estabilidade Compatibilidade Bibliografía pdf
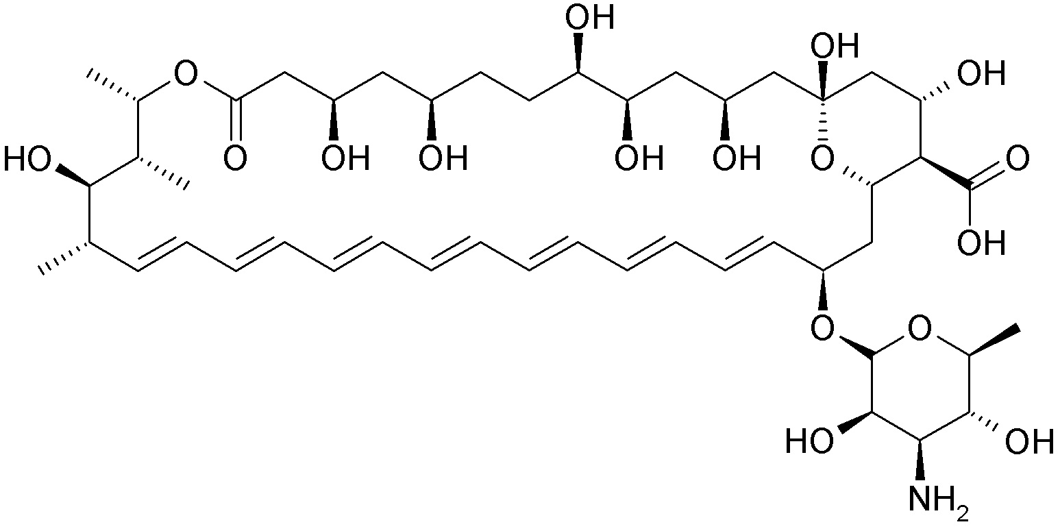
   estrutura química  

solução oftálmica
Estabilidade de preparações farmacêuticas   solução oftálmica   Estabilidade de preparações farmacêuticas : Amphotericin B     
Embalagem Origine excipiente temperatura conservação Duração da estabilidade Bibliografia
vidro frasco de medicamento para injeção 50 mg
Fungizone®
bicarbonato de sódio 4,2% 0,1 mL
glicose 5% >> 10 mL
-20°C ao abrigo da luz
60 dia
3848
frasco de plástico frasco de medicamento para injeção 15 mg
Fungizone®
glicose 5% >> 3 ml
2-6°C ao abrigo da luz
120 dia
2867

frasco de plástico frasco de medicamento para injeção 15 mg
Fungizone®
glicose 5% >> 3 ml
20-25°C ao abrigo da luz
16 dia
2867

frasco de plástico frasco de medicamento para injeção 15 mg
Fungizone®
glicose 5% >> 3 ml
20-25°C luz
13 dia
2867

frasco de plástico frasco de medicamento para injeção 10 mg
Fungizone®
glicose 5% 4 mL
23-27°C no especificado
28 dia
4487

frasco de plástico frasco de medicamento para injeção 10 mg
Fungizone®
glicose 5% 4 mL
3-7°C no especificado
168 dia
4487


  Mentions Légales