Cập nhật lần cuối :
27/01/2026
Thuốc gây mê    Amobarbital sodium  
Dạng tiêm
Tính ổn định của các dung dịch Độ ổn định khi trộn lẫn Những yếu tố ảnh hưởng đến độ ổn định Khả năng tương thích Đường dùng Tài liệu tham khảo Pdf
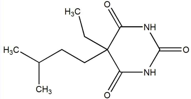
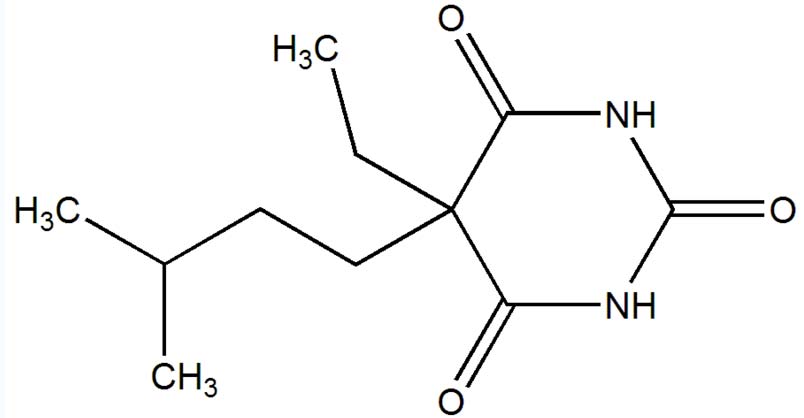
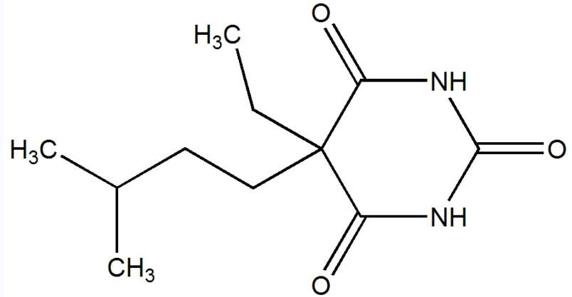
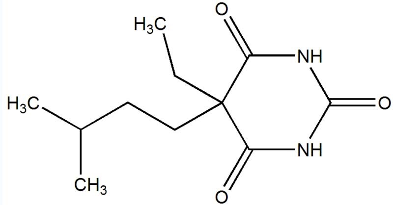
   Cấu trúc hóa học  

Tên thương mại   Tên thương mại     

Các tên thương mại được cung cấp và thành phần tá dược có thể khác nhau giữa các quốc gia và các hãng dược

Amytal Sodium Hoa Kỳ
Đường dùng   Đường dùng :Amobarbital sodium     
Đường dùng
Tiêm tĩnh mạch
Tiêm bắp

  Mentions Légales