Zadnji put ažurirano :
27/01/2026
opća anestezija   Amobarbital sodium  
injekcija
Stabilizacija rješenja Stabilnost mješavine Stabilizacijski faktor Kompatibilnosti način davanja lijeka Bibliografija pdf
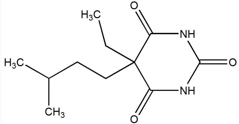
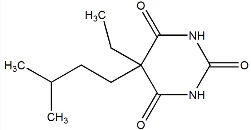
   Kemijska struktura  

Nekomercijalni   Nekomercijalni     

Zaštićeni nazivi su indikativni i sastav ekscipijensa može biti različit ovisno o državi i laboratorijima

Amytal Sodium S A D
način davanja lijeka   način davanja lijeka :Amobarbital sodium     
Voie
intravenozno
intramuskularni

  Mentions Légales