Letztes “update” :
27/01/2026
Vollnarkosemittel   Amobarbital sodium  
Injektion
Stabilität der Lösung Gemengestabilität Stabilitätbeeinflussende Faktoren Kompatibilitäten Applikationsart Literaturverzeichnis pdf
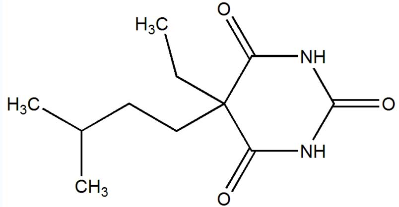
   Chemische Struktur  

Handelsmarke   Handelsmarke     

Handelsnamen sind als beispielhaft anzusehen. Sonstige Bestandteile können je nach Hersteller oder Land verschieden sein

Amytal Sodium Vereinigte Staaten von Amerika
Applikationsart   Applikationsart :Amobarbital sodium     
Verabreichung
Intravenös
Intramuskulär

  Mentions Légales