Ultimo aggiornamento :
27/04/2026
Anestetico generale   Amobarbital sodium  
Iniezione
Stabilità in soluzione Stabilità in miscela Fattori che influenzano la stabilità Compatibilità metodo di iniezione Bibliografia pdf
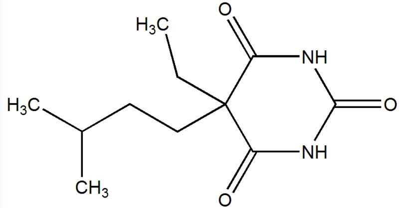
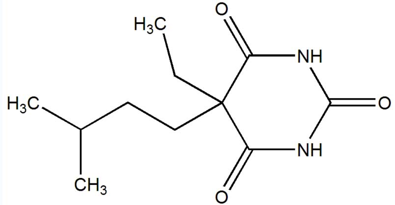
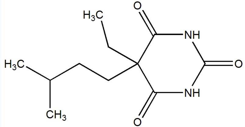
   Struttura chimica  

Nome commerciale   Nome commerciale     

Trade names are indicative and excipients composition can be different depending on the country and manufacturers

Amytal Sodium Stati Uniti d’America
metodo di iniezione   metodo di iniezione :Amobarbital sodium     
Voie
Endovenosa
Intramuscolare

  Mentions Légales