Последнее обновление :
27/01/2026
Общий наркоз, общая анестезия   Amobarbital sodium  
Инъекция
Стабильность растворов Стабильность смесей Факторы, которые влияют на стабильность Совместимость Способы введения Библиография pdf
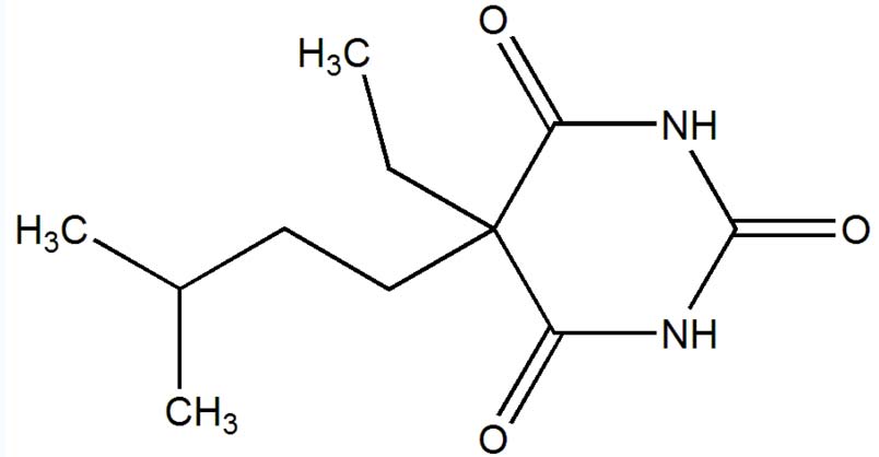
   Химическая структура  

Товарное название   Товарное название     

Trade names are indicative and excipients composition can be different depending on the country and manufacturers

Amytal Sodium Соединённые Штаты Америки
Способы введения   Способы введения :Amobarbital sodium     
Voie
Интравенный, внутривенный
Внутримышечный

  Mentions Légales