Posledná aktualizácia :
27/04/2026
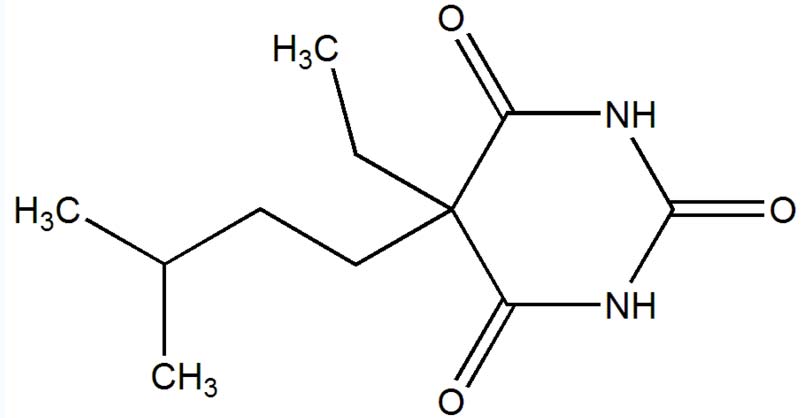
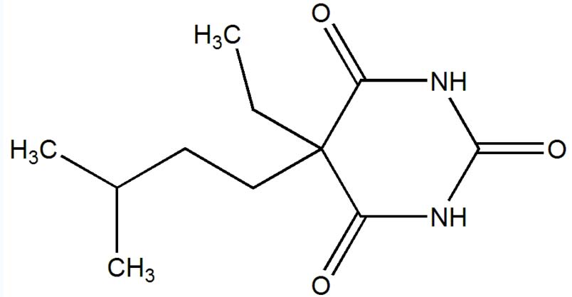
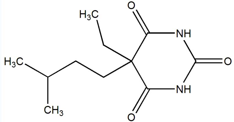
celkové anestetikum   Amobarbital sodium  
Injekcia
Stabilita roztokov Stabilita v zmesiach Faktory ovplyvňujúce stabilitu Kompatibility spôsob podania Odkazy na literatúru PDF
   Chemický vzorec  

Obchodný názov   Obchodný názov     

Obchodné názvy sú orientačné, a zloženie pomocných látok sa môže líšiť v závislosti od krajiny a výrobcu.

Amytal Sodium Spojené štáty Americké
spôsob podania   spôsob podania :Amobarbital sodium     
Voie
intravenózne
intramuskulárne

  Mentions Légales