Son güncelleme :
27/04/2026
Genel anestezik   Amobarbital sodium  
Enjeksiyon
Çözeltilerin stabilitesi Karışımlardaki stabilitesi Stabiliteyi etkileyen faktörler Uyumluluk Uygulama yöntemi Kaynaklar pdf
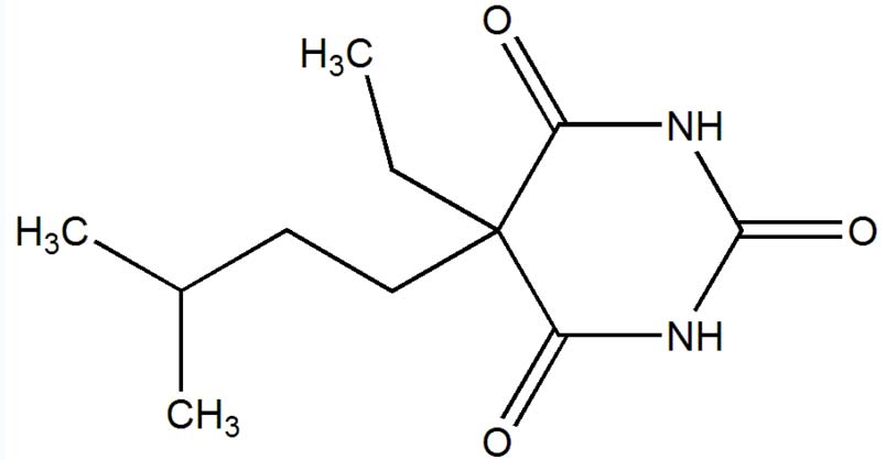
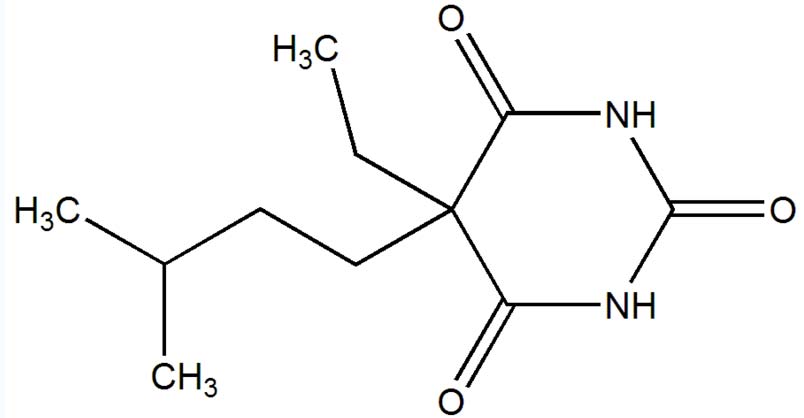
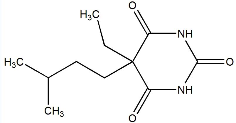
   Kimyasal yapı   

Ticari isim   Ticari isim     

Trade names are indicative and excipients composition can be different depending on the country and manufacturers

Amytal Sodium Amerika Birleşik Devletleri
Uygulama yöntemi   Uygulama yöntemi :Amobarbital sodium     
Voie
İntravenöz
İntramüsküler

  Mentions Légales