zadnja posodobitev :
27/04/2026
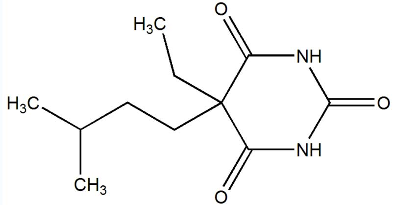
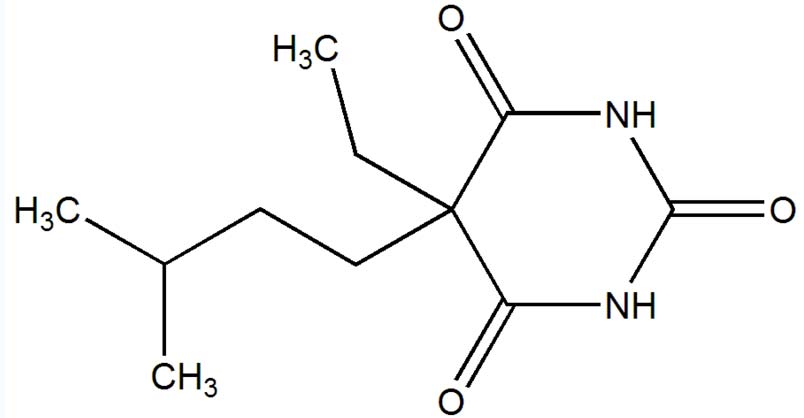
Splo_ni anestetik   Amobarbital sodium  
Brizgalka
Stabilnost raztopine Stabilnost mešanice Faktorji, ki vplivajo na stabilnost Kompatibilnost način aplikacije Viri pdf
   Kemična formula  

Lastniško ime   Lastniško ime     

Sestava pomožnih snovi je med paralelami lahko različna

Amytal Sodium Združene države Amerike
način aplikacije   način aplikacije :Amobarbital sodium     
Voie
Intravensko
Intramuskularno

  Mentions Légales